Circle
2008/9 Schools Wikipedia Selection. Related subjects: Mathematics
A circle is one of the basic shapes of Euclidean geometry. It is the locus of all points in a plane at a constant distance, called the radius, from a fixed point, called the centre. Through any three points not on the same line, there passes one and only one circle.
A chord of a circle is a line segment whose both endpoints lie on the circle. A diameter is a chord passing through the centre. The length of a diameter is twice the radius. A diameter is the largest chord in a circle.
Circles are simple closed curves which divide the plane into an interior and an exterior. The circumference of a circle is the perimeter of the circle, and the interior of the circle is called a disk. An arc is any connected part of a circle.
A circle is a special ellipse in which the two foci are coincident. Circles are conic sections attained when a right circular cone is intersected with a plane perpendicular to the axis of the cone.
Analytic results
In an x-y Cartesian coordinate system, the circle with centre (a, b) and radius r is the set of all points (x, y) such that
The equation of the circle follows from the Pythagorean theorem applied to any point on the circle. If the circle is centred at the origin (0, 0), then this formula can be simplified to
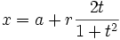
When expressed in parametric equations, (x, y) can be written using the trigonometric functions sine and cosine as
where t is a parametric variable, understood as the angle the ray to (x, y) makes with the x-axis. Alternatively, in stereographic coordinates, the circle has a parametrization
In homogeneous coordinates each conic section with equation of a circle is
It can be proven that a conic section is a circle if and only if the point I(1,i,0) and J(1,-i,0) lie on the conic section. These points are called the circular points at infinity.
In polar coordinates the equation of a circle is
In the complex plane, a circle with a centre at c and radius (r) has the equation | z − c | 2 = r2. Since
, the slightly generalised equation
for real p, q and complex g is sometimes called a generalised circle. Not all generalised circles are actually circles: a generalized circle is either a (true) circle or a line.
Tangent lines
The tangent line through a point P on a circle is perpendicular to the diameter passing through P. The equation of the tangent line to a circle of radius r centered at the origin at the point (x1, y1) is
Hence, the slope of a circle at (x1, y1) is given by:
More generally, the slope at a point (x, y) on the circle (x − a)2 + (y − b)2 = r2, i.e., the circle centered at (a, b) with radius r units, is given by
provided that
.
Pi (π)
Pi or π is the ratio of a circle's circumference to its diameter.
The numeric value of π never changes.
In modern English, it is pronounced /ˈpaɪ/ (as in apple pie).
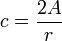
Circumference
- Length of a circle's circumference is
- c = πd = 2πr.
- Alternate formula for circumference:
Given that the ratio circumference c to the Area A is
The r and the π can be canceled, leaving
Therefore solving for c:
So the circumference is equal to 2 times the area, divided by the radius. This can be used to calculate the circumference when a value for π cannot be computed.
Diameter
The diameter of a circle is a straight line through the centre of the circle touching the circle at both sides.
The diameter of a circle is double its radius.
Area enclosed
- The area enclosed by a circle is the radius squared, multiplied by π.
Using a square with side lengths equal to the diameter of the circle, then dividing the square into four squares with side lengths equal to the radius of the circle, take the area of the smaller square and multiply by π.
that is, approximately 79% of the circumscribing square. The circle is the plane curve enclosing the maximum area for a given arclength. This relates the circle to a problem in the calculus of variations.
Properties
- The circle is the shape with the highest area for a given length of perimeter. (See Isoperimetry)
- The circle is a highly symmetric shape: every line through the centre forms a line of reflection symmetry and it has rotational symmetry around the centre for every angle. Its symmetry group is the orthogonal group O(2,R). The group of rotations alone is the circle group T.
- All circles are similar.
- The circle centered at the origin with radius 1 is called the unit circle.
- Through any three points, not all on the same line, there lies a unique circle. In Cartesian coordinates, it is possible to give explicit formulae for the coordinates of the centre of the circle and the radius in terms of the coordinates of the three given points. See circumcircle.
Chord properties
- Chords equidistant from the centre of a circle are equal (length).
- Equal (length) chords are equidistant from the centre.
- The perpendicular bisector of a chord passes through the centre of a circle; equivalent statements stemming from the uniqueness of the perpendicular bisector:
- A perpendicular line from the centre of a circle bisects the chord.
- The line segment ( Circular segment) through the centre bisecting a chord is perpendicular to the chord.
- If a central angle and an inscribed angle of a circle are subtended by the same chord and on the same side of the chord, then the central angle is twice the inscribed angle.
- If two angles are inscribed on the same chord and on the same side of the chord, then they are equal.
- If two angles are inscribed on the same chord and on opposite sides of the chord, then they are supplemental.
- For a cyclic quadrilateral, the exterior angle is equal to the interior opposite angle.
- An inscribed angle subtended by a diameter is a right angle.
- The diameter is longest chord of the circle.
Sagitta properties
- The sagitta is a line segment drawn perpendicular to a chord, between the midpoint of that chord and the circumference of the circle.
- Given the length y of a chord, and the length x of the sagitta, the Pythagorean theorem can be used to calculate the radius of the unique circle which will fit around the two lines:
Another proof of this result which relies only on 2 chord properties given above is as follows. Given a chord of length y and with sagitta of length x, since the sagitta intersects the midpoint of the chord, we know it is part of a diameter of the circle. Since the diameter is twice the radius, the "missing" part of the diameter is (2*r-x) in length. Using the fact that one part of one chord times the other part is equal to the same product taken along a chord intersecting the first chord, we find that (2*r-x)(x)=(y/2)^2. Solving for r, we find:
as required.
Tangent properties
- The line drawn perpendicular to the end point of a radius is a tangent to the circle.
- A line drawn perpendicular to a tangent at the point of contact with a circle passes through the centre of the circle.
- Tangents drawn from a point outside the circle are equal in length.
- Two tangents can always be drawn from a point outside of the circle.
Theorems
- The chord theorem states that if two chords, CD and EB, intersect at A, then CA×DA = EA×BA. (Chord theorem)
- If a tangent from an external point D meets the circle at C and a secant from the external point D meets the circle at G and E respectively, then DC2 = DG×DE. (tangent-secant theorem)
- If two secants, DG and DE, also cut the circle at H and F respectively, then DH×DG=DF×DE. (Corollary of the tangent-secant theorem)
- The angle between a tangent and chord is equal to the subtended angle on the opposite side of the chord. (Tangent chord property)
- If the angle subtended by the chord at the centre is 90 degrees then l = √2 × r, where l is the length of the chord and r is the radius of the circle.
- If two secants are inscribed in the circle as shown at right, then the measurement of angle A is equal to one half the difference of the measurements of the enclosed arcs (DE and BC). This is the secant-secant theorem.
Inscribed angles
An inscribed angle ψ is exactly half of the corresponding central angle θ (see Figure). Hence, all inscribed angles that subtend the same arc have the same value (cf. the blue and green angles ψ in the Figure). Angles inscribed on the arc are supplementary. In particular, every inscribed angle that subtends a diameter is a right angle.
Apollonius circle
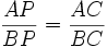
Apollonius of Perga showed that a circle may also be defined as the set of points in plane having a constant ratio of distances to two fixed foci, A and B.
The proof is as follows. A line segment PC bisects the interior angle APB, since the segments are similar:
Analogously, a line segment PD bisects the corresponding exterior angle. Since the interior and exterior angles sum to
, the angle CPD is exactly
, i.e., a right angle. The set of points P that form a right angle with a given line segment CD form a circle, of which CD is the diameter.
Cross-ratios

A closely related property of circles involves the geometry of the cross-ratio of points in the complex plane. If A, B, and C are as above, then the Apollonius circle for these three points is the collection of points P for which the absolute value of the cross-ratio is equal to one:
- | [A,B;C,P] | = 1.
Stated another way, P is a point on the Apollonius circle if and only if the cross-ratio [A,B;C,P] is on the unit circle in the complex plane.
Generalized circles
If C is the midpoint of the segment AB, then the collection of points P satisfying the Apollonius condition
(1)
is not a circle, but rather a line.
Thus, if A, B, and C are given distinct points in the plane, then the locus of points P satisfying (1) is called a generalized circle. It may either be a true circle or a line.

























Apollonius' definition of a circle