Francis Crick
2008/9 Schools Wikipedia Selection. Related subjects: British History Post 1900; Human Scientists
| Francis Harry Compton Crick |
|
![]() Francis Harry Compton Crick
|
|
| Born | 8 June 1916 Weston Favell, Northamptonshire, England |
|---|---|
| Died | 28 July 2004 (aged 88) San Diego, California, U.S. Colon Cancer |
| Residence | UK, U.S. |
| Nationality | British |
| Fields | Molecular biologist, Physicist |
| Institutions | Salk Institute |
| Alma mater | University College London University of Cambridge |
| Doctoral advisor | Max Perutz |
| Doctoral students | none |
| Known for | DNA structure, consciousness |
| Notable awards | Nobel Prize (1962) |
| Religious stance | Atheist |
Francis Harry Compton Crick OM FRS ( June 8, 1916 – July 28, 2004), Ph.D., was an English molecular biologist, physicist, and neuroscientist, and most noted for being one of the co-discoverers of the structure of the DNA molecule in 1953. He, James D. Watson and Maurice Wilkins were jointly awarded the 1962 Nobel Prize for Physiology or Medicine "for their discoveries concerning the molecular structure of nucleic acids and its significance for information transfer in living material" .
Crick is widely known for use of the term “ central dogma” to summarize an idea that genetic information flow in cells is essentially one-way, from DNA to RNA to protein. Crick was an important theoretical molecular biologist and played an important role in research related to revealing the genetic code.
During the remainder of his career, he held the post of J.W. Kieckhefer Distinguished Research Professor at the Salk Institute for Biological Studies in La Jolla, California. His later research centered on theoretical neurobiology and attempts to advance the scientific study of human consciousness. He remained in this post until his death; "he was editing a manuscript on his death bed, a scientist until the bitter end" said Christof Koch.
Biography, family and education

Francis Crick, the first son of Harry and Annie Elizabeth Crick (nee Wilkins), was born and raised in Weston Favell, then a small village on the edge of the English town of Northampton in which Crick’s father and uncle ran the family’s boot and shoe factory. At an early age, he was attracted to science and what he could learn about it from books. As a child, he was taken to church by his parents, but by about age 12 he told his mother that he no longer wanted to attend. Crick preferred the scientific search for answers over belief in any dogma. He was educated at Northampton Grammar School (now Northampton School For Boys) and, after the age of 14, Mill Hill School in London (on scholarship), where he studied mathematics, physics, and chemistry. At the age of 21, Crick earned a B.Sc. degree in physics from University College London (UCL) after he had failed to gain his intended place at a Cambridge college, probably through failing their requirement for Latin; his contemporaries in British DNA research Rosalind Franklin and Maurice Wilkins both went up to Cambridge colleges, to Newnham and St. John's respectively. Crick later became a PhD student and Honorary Fellow of Caius College and mainly worked at the Cavendish Laboratory and MRC Laboratory of Molecular Biology in Cambridge. He was also an Honorary Fellow of Churchill College and of University College London.
Crick began a Ph.D. research project on measuring viscosity of water at high temperatures (what he later described as "the dullest problem imaginable") in the laboratory of physicist Edward Neville da Costa Andrade, but with the outbreak of World War II - in particular, an incident during the Battle of Britain when a bomb fell through the roof of the laboratory and destroyed his experimental apparatus - Crick was deflected from a possible career in physics.
During World War II, he worked for the Admiralty Research Laboratory, from which emerged a group of many notable scientists; he worked on the design of magnetic and acoustic mines and was instrumental in designing a new mine that was effective against German minesweepers.
After World War II, in 1947, Crick began studying biology and became part of an important migration of physical scientists into biology research. This migration was made possible by the newly won influence of physicists such as John Randall, who had helped win the war with inventions such as radar. Crick had to adjust from the "elegance and deep simplicity" of physics to the "elaborate chemical mechanisms that natural selection had evolved over billions of years." He described this transition as, "almost as if one had to be born again." According to Crick, the experience of learning physics had taught him something important—hubris—and the conviction that since physics was already a success, great advances should also be possible in other sciences such as biology. Crick felt that this attitude encouraged him to be more daring than typical biologists who tended to concern themselves with the daunting problems of biology and not the past successes of physics.
For the better part of two years, Crick worked on the physical properties of cytoplasm at Cambridge's Strangeways Laboratory, headed by Honour Bridget Fell, with a Medical Research Council studentship, until he joined Perutz and Kendrew at the Cavendish Laboratory. The Cavendish Laboratory at Cambridge was under the general direction of Sir Lawrence Bragg, a Nobel Prize winner in 1915 at the age of 25. Bragg was influential in the effort to beat a leading American chemist, Linus Pauling, to the discovery of DNA's structure (after having been 'pipped-at-the-post' by Pauling's success in determining the alpha helix structure of proteins). At the same time Bragg's Cavendish Laboratory was also effectively competing with King's College London, which was under Sir John Randall. (Randall had turned down Francis Crick from working at King's College London.) Francis Crick and Maurice Wilkins of King's College London were personal friends, which influenced subsequent scientific events as much as the friendship between Crick and James Watson. Crick and Wilkins first met at King's College London and not as erroneously reported at the Admiralty during World War II.
- Spouses: 1# Ruth Doreen Crick, nee Dodd (b. 1913, m. 18 February 1940 - 1947); 2# Odile Crick, nee Speed (b. 11 August 1920, m. 14 August 1949 - 28 July 2004, d. 5 July 2007)
- Children: Michael b. 25 November 1940 [by Doreen Crick]; Gabrielle b. 15 July 1951 and Jacqueline [later Nichols] b. 12 March 1954 [by Odile Crick];
- Grandchildren: Alex, Camberley, Francis, Kindra (Michael & Barbara Crick's children) and Jacqueline Nichols' children Mark and Nicholas.
Crick died of colon cancer on 28 July 2004 at The University of California's San Diego Thornton Hospital, San Diego; he was cremated and his ashes scattered into the Pacific Ocean. A memorial service was held at The Salk Institute, La Jolla, near San Diego, California.
Biology research
| Francis Crick Discovery of the DNA Double Helix |
|
|---|---|
![]() Francis Crick, lecturing ca. 1979 |
|
| William Astbury | Oswald Avery |
| Francis Crick | Erwin Chargaff |
| Jerry Donohue | Rosalind Franklin |
| Phoebus Levene | Linus Pauling |
| Erwin Schrödinger | Alec Stokes |
| James Watson | Maurice Wilkins |
Crick was interested in two fundamental unsolved problems of biology. First, how molecules make the transition from the non-living to the living, and second, how the brain makes a conscious mind. He realized that his background made him more qualified for research on the first topic and the field of biophysics. It was at this time of Crick’s transition from physics into biology that he was influenced by both Linus Pauling and Erwin Schrödinger. It was clear in theory that covalent bonds in biological molecules could provide the structural stability needed to hold genetic information in cells. It only remained as an exercise of experimental biology to discover exactly which molecule was the genetic molecule. In Crick’s view, Charles Darwin’s theory of evolution by natural selection, Gregor Mendel’s genetics and knowledge of the molecular basis of genetics, when combined, revealed the secret of life.
It's clear that some macromolecule such as protein was likely to be the genetic molecule. However, it was well-known that proteins are structural and functional macromolecules, some of which carry out enzymatic reactions of cells. In the 1940s, some evidence had been found pointing to another macromolecule, DNA, the other major component of chromosomes, as a candidate genetic molecule. Oswald Avery and his collaborators showed that a phenotypic difference could be caused in bacteria by providing them with a particular DNA molecule.

However, other evidence was interpreted as suggesting that DNA was structurally uninteresting and possibly just a molecular scaffold for the apparently more interesting protein molecules. Crick was in the right place, in the right frame of mind, at the right time (1949), to join Max Perutz’s project at Cambridge University, and he began to work on the X-ray crystallography of proteins. X-ray crystallography theoretically offered the opportunity to reveal the molecular structure of large molecules like proteins and DNA, but there were serious technical problems then preventing X-ray crystallography from being applicable to such large molecules.
1949-1950
Crick taught himself the mathematical theory of X-ray crystallography. During the period of Crick's study of X-ray diffraction, researchers in the Cambridge lab were attempting to determine the most stable helical conformation of amino acid chains in proteins (the α helix). Pauling was the first to identify the 3.6 amino acids per helix turn ratio of the α helix. Crick was witness to the kinds of errors that his co-workers made in their failed attempts to make a correct molecular model of the α helix; these turned out to be important lessons that could be applied, in the future, to the helical structure of DNA. For example, he learned the importance of the structural rigidity that double bonds confer on molecular structures which is relevant both to peptide bonds in proteins and the structure of nucleotides in DNA.
1951-1953
In 1951, together with Cochran and V. Vand, Crick assisted in the development of a mathematical theory of X-ray diffraction by a helical molecule. This theoretical result matched well with X-ray data obtained for proteins that contain sequences of amino acids in the Alpha helix conformation (published in Nature in 1952). Helical diffraction theory turned out to also be useful for understanding the structure of DNA.
Late in 1951, Crick started working with James D. Watson at Cavendish Laboratory at the University of Cambridge, England. Using the X-ray diffraction results of Raymond Gosling and Rosalind Franklin of King's College London, given to them by Gosling and Franklin's colleague Maurice Wilkins, Watson and Crick together developed a model for a helical structure of DNA, which they published in 1953. For this and subsequent work they were jointly awarded the Nobel Prize in Physiology or Medicine in 1962 with Maurice Wilkins.
When James Watson came to Cambridge, Crick was a 35-year-old post-graduate student (due to his work during WWII) and Watson was only 23, but he already had a Ph.D. They shared an interest in the fundamental problem of learning how genetic information might be stored in molecular form. Watson and Crick talked endlessly about DNA and the idea that it might be possible to guess a good molecular model of its structure. A key piece of experimentally-derived information came from X-ray diffraction images that had been obtained by Maurice Wilkins, Rosalind Franklin and their research student, Raymond Gosling. In November 1951, Wilkins came to Cambridge and shared his data with Watson and Crick. Alexander Stokes (another expert in helical diffraction theory) and Wilkins (both at King's) had reached the conclusion that X-ray diffraction data for DNA indicated that the molecule had a helical structure - but Rosalind Franklin vehemently did not. Stimulated by contact with Wilkins, and Watson attending a talk given by Rosalind Franklin about her work on DNA, Crick and Watson produced and showed off an erroneous first model of DNA. Watson, in particular, thought they were competing against Pauling and feared that Pauling might determine the structure of DNA.
Many have speculated about what might have happened had Pauling been able to travel to Britain as planned in May 1952. He 'might' have been invited to see some of the Wilkins/ Franklin X-ray diffraction data and such an event 'might' have led him to a double helix model (which remains (as said above) total speculation. As it was, his political activities caused his travel to be restricted by the U. S. government and he did not visit the UK until later, at which point he met none of the DNA researchers in England. Watson and Crick were not officially working on DNA. Crick was writing his Ph.D. thesis. Watson also had other work such as trying to obtain crystals of myoglobin for X-ray diffraction experiments. In 1952, Watson did X-ray diffraction on tobacco mosaic virus and found results indicating that it had helical structure. Having failed once, Watson and Crick were now somewhat reluctant to try again and for a while they were forbidden to make further efforts to find a molecular model of DNA.
Of great importance to the model building effort of Watson and Crick was Rosalind Franklin's understanding of basic chemistry, which indicated that the hydrophilic phosphate-containing backbones of the nucleotide chains of DNA should be positioned so as to interact with water molecules on the outside of the molecule while the hydrophobic bases should be packed into the core. Franklin shared this chemical knowledge with Watson and Crick when she rather 'dismisivaly' pointed out to them that their first model (1951, with the phosphates inside) was obviously wrong.
Crick described what he saw as the failure of Maurice Wilkins and Rosalind Franklin to cooperate and work towards finding a molecular model of DNA as a major reason why he and Watson eventually made a second attempt to make a molecular model of DNA. They asked for, and received, permission to do so from both Bragg and Wilkins. In order to construct their model of DNA, Watson and Crick made use of information from unpublished X-ray diffraction images of Franklin's (shown at meetings and freely shared by Wilkins), including preliminary accounts of Franklin's results/photographs of the X-ray images that were included in a written progress report for the King's laboratory of John Randall from late 1952.
It is a matter of debate whether Watson and Crick should have had access to Franklin's results without her knowledge or permission and before she had a chance to formally publish the results of her detailed analysis of her X-ray diffraction data that were included in the progress report - but Watson and Crick realised her 'staunchly' (uncompromising) held analysis (of the helical nature) was faulty - so they had a dilemma. In an effort to clarify this issue, Perutz later published what had been in the progress report, and suggested that nothing was in the report that Franklin herself had not said in her talk (attended by Watson) in late 1951. Further, Perutz explained that the report was to a Medical Research Council (MRC) committee that had been created in order to "establish contact between the different groups of people working for the Council". Randall's and Perutz's labs were both MRC funded laboratories.
It is also not clear how important Franklin's unpublished results from the progress report actually were for the model building done by Watson and Crick. After the first crude X-ray diffraction images of DNA were collected in the 1930s, William Astbury had talked about stacks of nucleotides spaced at 3.4 angstrom (0.34 nanometre) intervals in DNA. A citation to Astbury's earlier X-ray diffraction work was one of only 8 references in Franklin's first paper on DNA. Analysis of Astbury's published DNA results and the better X-ray diffraction images collected by Wilkins and Franklin revealed the helical nature of DNA. It was possible to predict the number of bases stacked within a single turn of the DNA helix (10 per turn; a full turn of the helix is 27 angstroms [2.7 nm] in the compact A form, 34 angstroms [3.4 nm] in the wetter B form). Wilkins shared this information about the B form of DNA with Crick and Watson. Crick did not see Franklin's B form X-ray images until after the DNA double helix model was published.
One of the few references cited by Watson and Crick when they published their model of DNA, was to a published article that included Sven Furberg’s DNA model that had the bases on the inside. Thus, the Watson and Crick model was not the first "bases in" model to be published. Furberg's results had also provided the correct orientation of the DNA sugars with respect to the bases. During their model building, Crick and Watson learned that an antiparallel orientation of the two nucleotide chain backbones worked best to orient the base pairs in the centre of a double helix. Crick's access to Franklin's progress report of late 1952 is what made Crick confident that DNA was a double helix with anti-parallel chains, but there were other chains of reasoning and sources of information that also led to these conclusions.
As a result of leaving King's College London for another institution, Franklin was asked by John Randall to give up her work on DNA. When it became clear to Wilkins and the supervisors of Watson and Crick that Franklin was going to the new job, and that Pauling was working on the structure of DNA, they were willing to share Franklin's data with Watson and Crick, in the hope that they could find a good model of DNA before Pauling was able. Franklin's X-ray diffraction data for DNA and her systematic analysis of DNA's structural features was useful to Watson and Crick in guiding them towards a correct molecular model. The key problem for Watson and Crick, which could not be resolved by the data from King's College, was to guess how the nucleotide bases pack into the core of the DNA double helix.
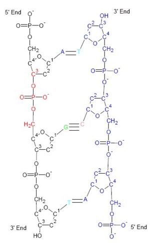
Another key to finding the correct structure of DNA was the so-called Chargaff ratios, experimentally determined ratios of the nucleotide subunits of DNA: the amount of guanine is equal to cytosine and the amount of adenine is equal to thymine. A visit by Erwin Chargaff to England in 1952 reinforced the salience of this important fact for Watson and Crick. The significance of these ratios for the structure of DNA were not recognized until Watson, persisting in building structural models, realized that A:T and C:G pairs are structurally similar. In particular, the length of each base pair is the same. The base pairs are held together by hydrogen bonds, the same non-covalent interaction that stabilizes the protein α helix. Watson’s recognition of the A:T and C:G pairs was aided by information from Jerry Donohue about the most likely structures of the nucleobases. After the discovery of the hydrogen bonded A:T and C:G pairs, Watson and Crick soon had their double helix model of DNA with the hydrogen bonds at the core of the helix providing a way to unzip the two complementary strands for easy replication: the last key requirement for a likely model of the genetic molecule. As important as Crick’s contributions to the discovery of the double helical DNA model were, he stated that without the chance to collaborate with Watson, he would not have found the structure by himself.
Crick did tentatively attempt to perform some experiments on nucleotide base pairing, but he was more of a theoretical than an experimental biologist. There was another close approach to discovery of the base pairing rules in early 1952. Crick had started to think about interactions between the bases. He asked John Griffith to try to calculate attractive interactions between the DNA bases from chemical principles and quantum mechanics. Griffith's best guess was that A:T and G:C were attractive pairs. At that time, Crick was not aware of Chargaff's rules and he made little of Griffith's calculations. It did start him thinking about complementary replication. Identification of the correct base-pairing rules (A-T, G-C) was achieved by Watson "playing" with cardboard cut-out models of the nucleotide bases, much in the manner that Pauling had discovered the protein alpha helix a few years earlier. The Watson and Crick discovery of the DNA double helix structure was made possible by their willingness to combine theory, modeling and experimental results (albeit mostly done by others) to achieve their goal.
Molecular biology
In 1954, at the age of 37, Crick completed his Ph.D. thesis: "X-Ray Diffraction: Polypeptides and Proteins" and received his degree. Crick then worked in the laboratory of David Harker at Brooklyn Polytechnic Institute, where he continued to develop his skills in the analysis of X-ray diffraction data for proteins, working primarily on ribonuclease and the mechanisms of protein synthesis. David Harker, the American X-ray crystallographer, was described as "the John Wayne of crystallography" by Vittorio Luzzati, a crystallographer at the Centre for Molecular Genetics in Gif-sur-Yvette near Paris, who had worked with Rosalind Franklin.
After the discovery of the double helix model of DNA, Crick’s interests quickly turned to the biological implications of the structure. In 1953, Watson and Crick published another article in Nature which stated: "it therefore seems likely that the precise sequence of the bases is the code that carries the genetical information".
In 1956, Crick and Watson speculated on the structure of small viruses. They suggested that spherical viruses such as Tomato bushy stunt virus had icosahedral symmetry and were made from 60 identical subunits.
After his short time in New York, Crick returned to Cambridge where he worked until 1976, at which time he moved to California. Crick engaged in several X-ray diffraction collaborations such as one with Alexander Rich on the structure of collagen. However, Crick was quickly drifting away from continued work related to his expertise in the interpretation of X-ray diffraction patterns of proteins.
George Gamow established a group of scientists interested in the role of RNA as an intermediary between DNA as the genetic storage molecule in the nucleus of cells and the synthesis of proteins in the cytoplasm. It was clear to Crick that there had to be a code by which a short sequence of nucleotides would specify a particular amino acid in a newly synthesized protein. In 1956, Crick wrote an informal paper about the genetic coding problem for the small group of scientists in Gamow’s RNA group. In this article, Crick reviewed the evidence supporting the idea that there was a common set of about 20 amino acids used to synthesize proteins. Crick proposed that there was a corresponding set of small adaptor molecules that would hydrogen bond to short sequences of a nucleic acid and also link to one of the amino acids. He also explored the many theoretical possibilities by which short nucleic acid sequences might code for the 20 amino acids.

During the mid-to-late 1950s Crick was very much intellectually engaged in sorting out the mystery of how proteins are synthesized. By 1958, Crick’s thinking had matured and he could list in an orderly way all of the key features of the protein synthesis process:
- genetic information stored in the sequence of DNA molecules
- a “messenger” RNA molecule to carry the instructions for making one protein to the cytoplasm
- adaptor molecules (“they might contain nucleotides”) to match short sequences of nucleotides in the RNA messenger molecules to specific amino acids
- ribonucleic-protein complexes that catalyse the assembly of amino acids into proteins according to the messenger RNA
The “adaptor molecules” were eventually shown to be tRNAs and the catalytic “ribonucleic-protein complexes” became known as ribosomes. An important step was later (1960) realization that the messenger RNA was not the same as the ribosomal RNA. None of this, however, answered the fundamental theoretical question of the exact nature of the genetic code. In his 1958 article, Crick speculated, as had others, that a triplet of nucleotides could code for an amino acid. Such a code might be “degenerate”, with 4x4x4=64 possible triplets of the four nucleotide subunits while there were only 20 amino acids. Some amino acids might have multiple triplet codes. Crick also explored other codes in which for various reasons only some of the triplets were used, “magically” producing just the 20 needed combinations. Experimental results were needed; theory alone could not decide the nature of the code. Crick also used the term “ central dogma” to summarize an idea that implies that genetic information flow between macromolecules would be essentially one-way:
DNA → RNA → Protein
Some critics thought that by using the word "dogma" Crick was implying that this was a rule that could not be questioned, but all he really meant was that it was a compelling idea without much solid evidence to support it. In his thinking about the biological processes linking DNA genes to proteins, Crick made explicit the distinction between the materials involved, the energy required, and the information flow. Crick was focused on this third component (information) and it became the organizing principle of what became known as molecular biology. Crick had by this time become a dominant, if not the dominant, theoretical molecular biologist.
Proof that the genetic code is a degenerate triplet code finally came from genetics experiments, some of which were performed by Crick. The details of the code came mostly from work by Marshall Nirenberg and others who synthesized synthetic RNA molecules and used them as templates for in vitro protein synthesis..
Controversy about using King's College London's results
An enduring controversy has been generated by Watson and Crick's use of DNA X-ray diffraction data collected by Rosalind Franklin and her student Raymond Gosling. The controversy arose from the fact that some of the data were shown to them, without her knowledge, by her boss, Maurice Wilkins, and by Max Perutz. Her experimental results provided estimates of water content of DNA crystals and these results were most consistent with the three sugar-phosphate backbones being on the outside of the molecule. Franklin personally told Crick and Watson that the backbones had to be on the outside, whilst vehemently stating (erroneously) that is exhibited a helical structure. Her identification of the space group for DNA crystals revealed to Crick that the DNA strands were antiparallel, which helped Watson and Crick decide to look for DNA models with two polynucleotide strands. The X-ray diffraction images collected by Franklin provided the best evidence for the helical nature of DNA - but she failed to recognise this fact. However Franklin's experimental work proved important in Crick and Watson's development of the correct model.
Prior to publication of the double helix structure, Watson and Crick had little interaction with Franklin. Crick and Watson felt that they had benefited from collaborating with Maurice Wilkins. They offered him a co-authorship on the article that first described the double helix structure of DNA. Wilkins turned down the offer and was in part responsible for the terse character of the acknowledgment of experimental work done at King's College London. Rather than make any of the DNA researchers at King's College co-authors on the Watson and Crick double helix article, the solution that was arrived at was to publish two additional papers from King's College London along with the helix paper. Brenda Maddox suggested that because of the importance of her experimental results used Watson and Crick's model building and theoretical analysis, Franklin should have had her name on the original Watson and Crick paper in Nature. Watson and Crick offered joint authorship to Wilkins which he turned down at the time, but which he may have subsequently regretted. (Franklin and Ray Gosling submitted their own joint 'second' paper to Nature at the same time as Wilkins, Stokes and Wilson submitted theirs, i.e., the 'third' paper on DNA.).
Views on religion
Crick once joked, "Christianity may be OK between consenting adults in private but should not be taught to young children."
In his book Of Molecules and Men, Crick expressed his views on the relationship between science and religion. After suggesting that it would become possible for people to wonder if a computer might be programmed so as to have a soul, he wondered: at what point during biological evolution did the first organism have a soul? At what moment does a baby get a soul? Crick stated his view that the idea of a non-material soul that could enter a body and then persist after death is just that, an imagined idea. For Crick, the mind is a product of physical brain activity and the brain had evolved by natural means over millions of years. Crick felt that it was important that evolution by natural selection be taught in public schools and that it was regrettable that English schools had compulsory religious instruction. Crick felt that a new scientific world view was rapidly being established, and predicted that once the detailed workings of the brain were eventually revealed, erroneous Christian concepts about the nature of man and the world would no longer be tenable; traditional conceptions of the "soul" would be replaced by a new understanding of the physical basis of mind. He was skeptical of organized religion, referring to himself as a skeptic and an agnostic with "a strong inclination towards atheism".
In 1960, Crick accepted a fellowship at Churchill College Cambridge, one factor being that the new college did not have a chapel. Sometime later a large donation was made to establish a chapel and the fellowship elected to accept it. Crick resigned his fellowship in protest.
In October 1969, Crick participated in a celebration of the 100th year of the journal Nature. Crick attempted to make some predictions about what the next 30 years would hold for molecular biology. His speculations were later published in Nature. Near the end of the article, Crick briefly mentioned the search for life on other planets, but he held little hope that extraterrestrial life would be found by the year 2000. He also discussed what he described as a possible new direction for research, what he called "biochemical theology". Crick wrote, "So many people pray that one finds it hard to believe that they do not get some satisfaction from it...."
Crick suggested that it might be possible to find chemical changes in the brain that were molecular correlates of the act of prayer. He speculated that there might be a detectable change in the level of some neurotransmitter or neurohormone when people pray. Crick may have been imagining substances such as dopamine that are released by the brain under certain conditions and produce rewarding sensations. Crick's suggestion that there might someday be a new science of "biochemical theology" seems to have been realized under an alternative name: there is now the new field of neurotheology. Crick's view of the relationship between science and religion continued to play a role in his work as he made the transition from molecular biology research into theoretical neuroscience.
Directed panspermia
During the 1960s, Crick became concerned with the origins of the genetic code. In 1966, Crick took the place of Leslie Orgel at a meeting where Orgel was to talk about the origin of life. Crick speculated about possible stages by which an initially simple code with a few amino acid types might have evolved into the more complex code used by existing organisms. At that time, everyone thought of proteins as the only kind of enzymes and ribozymes had not yet been found. Many molecular biologists were puzzled by the problem of the origin of a protein replicating system that is as complex as that which exists in organisms currently inhabiting Earth. In the early 1970s, Crick and Orgel further speculated about the possibility that the production of living systems from molecules may have been a very rare event in the universe, but once it had developed it could be spread by intelligent life forms using space travel technology, a process they called “Directed Panspermia”. In a retrospective article, Crick and Orgel noted that they had been overly pessimistic about the chances of abiogenesis on Earth when they had assumed that some kind of self-replicating protein system was the molecular origin of life.
Neuroscience, other interests

Crick's period at Cambridge was the pinnacle of his long scientific career, but he left Cambridge in 1977 after 30 years, having been offered (and having refused) the Mastership of Gonville & Caius. James Watson claimed at a Cambridge conference marking the 50th anniversary of the discovery of the structure of DNA in 2003: "Now perhaps it's a pretty well kept secret that one of the most uninspiring acts of Cambridge University over this past century was to turn down Francis Crick when he applied to be the Professor of Genetics, in 1958. Now there may have been a series of arguments, which lead them to reject Francis. It was really saying, don't push us to the frontier." The apparently "pretty well kept secret" had already been recorded in Soraya De Chadarevian's "Designs For Life: Molecular Biology After World War II", published by CUP in 2002. His major contribution to molecular biology in Cambridge is well documented in The History of the University of Cambridge: Volume 4 (1870 to 1990), which was published by Cambridge University Press in 1992.
According to the University of Cambridge's genetics department official website, the electors of the professorship could not reach consensus, prompting the intervention of then University Vice-Chancellor Lord Adrian. Lord Adrian first offered the professorship to a compromise candidate, Guido Pontecorvo, who refused, and is said to have offered it then to Crick, who also refused.
In 1976, Crick took a sabbatical year at the Salk Institute for Biological Studies in La Jolla, California. Crick had been a nonresident fellow of the Institute since 1960. Crick wrote, "I felt at home in Southern California." After the sabbatical, Crick left Cambridge in order to continue working at the Salk Institute. He was also a professor at the University of California, San Diego. He taught himself neuroanatomy and studied many other areas of neuroscience research. It took him several years to disengage from molecular biology because exciting discoveries continued to be made, including the discovery of alternative splicing and the discovery of restriction enzymes, which helped make possible genetic engineering. Eventually, in the 1980s, Crick was able to devote his full attention to his other interest, consciousness. His autobiographical book, What Mad Pursuit, includes a description of why he left molecular biology and switched to neuroscience.
Upon taking up work in theoretical neuroscience, Crick was struck by several things:
- there were many isolated subdisciplines within neuroscience with little contact between them
- many people who were interested in behaviour treated the brain as a black box
- consciousness was viewed as a taboo subject by many neurobiologists
Crick hoped he might aid progress in neuroscience by promoting constructive interactions between specialists from the many different subdisciplines concerned with consciousness. He even collaborated with neurophilosophers such as Patricia Churchland. Crick established a collaboration with Christof Koch that lead to publication of a series of articles on consciousness during the period spanning from 1990 to 2005. Crick made the strategic decision to focus his theoretical investigation of consciousness on how the brain generates visual awareness within a few hundred milliseconds of viewing a scene. Crick and Koch proposed that consciousness seems so mysterious because it involves very short-term memory processes that are as yet poorly understood. Crick also published a book describing how neurobiology had reached a mature enough stage so that consciousness could be the subject of a unified effort to study it at the molecular, cellular and behavioural levels. Crick's book The Astonishing Hypothesis made the argument that neuroscience now had the tools required to begin a scientific study of how brains produce conscious experiences. Crick was skeptical about the value of computational models of mental function that are not based on details about brain structure and function.
Crick was elected a fellow of CSICOP in 1983 and a Humanist Laureate of the International Academy of Humanism in the same year. In 1995, Francis Crick was one of the original endorsers of the Ashley Montagu Resolution to petition for an end to the genital mutilation of children.
Reactions to Crick and his work
Crick has widely been described as talkative, brash, and lacking modesty. His personality combined with his scientific accomplishments produced many opportunities for Crick to stimulate reactions from others, both inside and outside of the scientific world, which was the centre of his intellectual and professional life. Also described as an example of Crick's wide recognition and public profile are some of the times Crick was addressed as "Sir Francis Crick" with the assumption that someone so famous must have been knighted.</ref> Crick spoke rapidly, and rather loudly, and had an infectious and reverberating laugh, and a lively sense of humour. One colleague from the Salk Institute described him as "a brainstorming intellectual powerhouse with a mischievous smile..." Francis was never mean-spirited, just incisive. He detected microscopic flaws in logic. In a room full of smart scientists, Francis continually reearned his position as the heavyweight champ."
Religious beliefs
The conservative political analyst Mark Steyn published an obituary of Crick and attempted a deconstruction of Crick's scientific motivations. Steyn characterized Crick as a militant atheist and asserted that it was his atheism that "drove" Crick to move beyond conventional molecular biology towards speculative topics such as panspermia. Steyn described the theory of directed panspermia as amounting to, "gods in the skies who fertilize the earth and then retreat to the heavens beyond our reach." Steyn categorized Crick’s ideas on directed panspermia as a result of "hyper-rationalism" that, "lead him round to embracing a belief in a celestial creator of human life, indeed a deus ex machina."
Steyn's critique of Crick ignored the fact that Crick never held a belief in panspermia. Crick explored the hypothesis that it might be possible for life forms to be moved from one planet to another. What "drove" Crick towards speculation about directed panspermia was the difficulty of imagining how a complex system like a cell could arise under pre-biotic conditions from non-living chemical components. After ribozymes were discovered, Crick became much less interested in panspermia because it was then much easier to imagine the pre-biotic origins of life as being made possible by some set of simple self-replicating polymers.
Eugenics
Crick occasionally expressed his views on eugenics, usually in private letters. For example, Crick advocated a form of positive eugenics in which wealthy parents would be encouraged to have more children. He once remarked, "In the long run, it is unavoidable that society will begin to worry about the character of the next generation... It is not a subject at the moment which we can tackle easily because people have so many religious beliefs and until we have a more uniform view of ourselves I think it would be risky to try and do anything in the way of eugenics... I would be astonished if, in the next 100 or 200 years, society did not come round to the view that they would have to try to improve the next generation in some extent or one way or another." Some observers have labelled Crick's views on eugenics as "controversial"
Creationism
It has been suggested by some observers that Crick's speculation about panspermia, "fits neatly into the intelligent design concept." Crick's name was raised in this context in the Kitzmiller v. Dover Area School District trial over the teaching of intelligent design. However, Crick wrote:
The age of the earth is now established beyond any reasonable doubt as very great, yet in the United States millions of Fundamentalists still stoutly defend the naive view that it is relatively short, an opinion deduced from reading the Christian Bible too literally. They also usually deny that animals and plants have evolved and changed radically over such long periods, although this is equally well established. This gives one little confidence that what they have to say about the process of natural selection is likely to be unbiased, since their views are predetermined by a slavish adherence to religious dogmas.
In the 1987 United States Supreme Court case Edwards v. Aguillard, Crick joined a group of other Nobel laureates who advised that, "'Creation-science' simply has no place in the public-school science classroom." Crick was also an advocate for the establishment of Darwin Day as a British national holiday.
Recognition
The Francis Crick Prize Lectures at The Royal Society, London
The Francis Crick Prize Lecture was established in 2003 following an endowment by his former colleague, Sydney Brenner, joint winner of the 2002 Nobel Prize in Physiology and Medicine. The lecture is delivered annually in any field of biological sciences, with preference given to the areas in which Francis Crick himself worked. Importantly, the lectureship is aimed at younger scientists, ideally under 40, or whose career progression corresponds to this age.
The Francis Crick Graduate Lectures at the University of Cambridge
The University of Cambridge Graduate School of Biological, Medical and Veterinary Sciences hosts The Francis Crick Graduate Lectures. The first two lectures were by John Gurdon and Tim Hunt.
"For my generation, Francis Crick was probably the most obviously influential presence. He was often at lunch in the canteen of the Laboratory of Molecular Biology where he liked to explain what he was thinking about, and he was always careful to make sure that everyone round the table really understood. He was a frequent presence at talks in and around Cambridge, where he liked to ask questions. Sometimes, I remember thinking, they seemed slightly ignorant questions to which a man of his extraordinary range and ability ought to have known the answers. Only slowly did it dawn on me that he only and always asked questions when he was unclear or unsure, a great lesson." (Tim Hunt, first Francis Crick Graduate Lecturer: June 2005)
The wording on the new DNA sculpture (which was donated by James Watson) outside Clare College's Thirkill Court, Cambridge, England is
a) on the base:
i) "These strands unravel during cell reproduction. Genes are encoded in the sequence of bases."
ii) "The double helix model was supported by the work of Rosalind Franklin and Maurice Wilkins."
b) on the helices:
i) "The structure of DNA was discovered in 1953 by Francis Crick and James Watson while Watson lived here at Clare."
ii) "The molecule of DNA has two helical strands that are linked by base pairs Adenine - Thymine or Guanine - Cytosine."
The aluminium sculpture stands fifteen feet high. It took a pair of technicians a fortnight to build it. For the artist responsible it was an opportunity to create a monument that brings together the themes of science and nature; Charles Jencks, Sculptor said "It embraces the trees, you can sit on it and the ground grows up and it twists out of the ground. So it's truly interacting with living things like the turf, and that idea was behind it and I think it does celebrate life and DNA." Tony Badger, Master of Clare, said: "It is wonderful to have this lasting reminder of his achievements while he* was at Clare and the enormous contribution he* and Francis Crick have made to our understanding of life on earth." * James Watson.
- Fellow of the Royal Society
- Fellow International Academy of Humanism
- Fellow CSICOP
- Westminster City Council unveiled a green plaque to Francis Crick on the front façade of 56 St George's Square, Pimlico, London SW1 on the 20 June 2007; Crick lived in the first floor flat, together with Robert Dougall of BBC radio and later TV fame, a former Royal Navy associate.
Books by Francis Crick
- Of Molecules and Men (Prometheus Books, 2004; original edition 1967) ISBN 1-59102-185-5
- Life Itself (Simon & Schuster, 1981) ISBN 0-671-25562-2
- What Mad Pursuit: A Personal View of Scientific Discovery (Basic Books reprint edition, 1990) ISBN 0-465-09138-5
- The Astonishing Hypothesis: The Scientific Search For The Soul (Scribner reprint edition, 1995) ISBN 0-684-80158-2
- Kreiseliana: about and around Georg Kreisel; ISBN 1-56881-061-X; 495 pages. For pages 25 - 32 "Georg Kreisel: a Few Personal Recollections" contributed by Francis Crick.
Books about Francis Crick and the structure of DNA discovery
- John Bankston, Francis Crick and James D. Watson; Francis Crick and James Watson: Pioneers in DNA Research (Mitchell Lane Publishers, Inc., 2002) ISBN 1-58415-122-6
- Soraya De Chadarevian; Designs For Life: Molecular Biology After World War II, CUP 2002, 444 pp; ISBN 0-521-57078-6
- Edwin Chargaff; Heraclitean Fire, Rockefeller Press, 1978
- S. Chomet (Ed.), "D.N.A. Genesis of a Discovery", 1994, Newman- Hemisphere Press, London
- Dickerson, Richard E.; "Present at the Flood: How Structural Molecular Biology Came About", Sinauer, 2005; ISBN 0-878-93168-6;
- Edward Edelson, "Francis Crick And James Watson: And the Building Blocks of Life"' Oxford University Press, 2000, ISBN 0-19-513971-2.
- Hager, Thomas; "Force of Nature: The Life of Linus Pauling", Simon & Schuster 1995; ISBN 0-684-80909-5
- Graeme Hunter; Light Is A Messenger, the life and science of William Lawrence Bragg, ISBN 0-19-852921-X; Oxford University Press, 2004.
- Horace Freeland Judson, "The Eighth Day of Creation. Makers of the Revolution in Biology"; Penguin Books 1995, first published by Jonathan Cape, 1977; ISBN 0-14-017800-7.
- Torsten Krude (Ed.); DNA Changing Science and Society ( ISBN 0-521-82378-1) CUP 2003. (The Darwin Lectures for 2003, including one by Sir Aaron Klug on Rosalind Franklin's involvement in the determination of the structure of DNA).
- Brenda Maddox Rosalind Franklin: The Dark Lady of DNA, 2002. ISBN 0-00-655211-0.
- Robert Olby; The Path to The Double Helix: Discovery of DNA; first published in 0ctober 1974 by MacMillan, with foreword by Francis Crick; ISBN 0-486-68117-3; revised in 1994, with a 9-page postscript.
- Robert Olby; "Francis Crick: A Biography", Cold Spring Harbour Laboratory Press, ISBN 9780879697983, to be published in June 2009.
- Matt Ridley; Francis Crick: Discoverer of the Genetic Code (Eminent Lives) first published in June 2006 in the USA and then in the UK September 2006, by HarperCollins Publishers; 192 pp, ISBN 0-06-082333-X. See: http://www.nytimes.com/2006/07/10/science/11books-excerpt.html
- Anne Sayre. 1975. Rosalind Franklin and DNA. New York: W.W. Norton and Company. ISBN 0-393-32044-8.
- James D. Watson; The Double Helix: A Personal Account of the Discovery of the Structure of DNA, Atheneum, 1980, ISBN 0-689-70602-2 (first published in 1968) is a very readable firsthand account of the research by Crick and Watson. The book also formed the basis of the award winning television dramatization Life Story by BBC Horizon (also broadcast as Race for the Double Helix).
- James D. Watson; The Double Helix: A Personal Account of the Discovery of the Structure of DNA; The Norton Critical Edition, which was published in 1980, edited by Gunther S. Stent: ISBN 0-393-01245-X. (It does not include Erwin Chargaff's critical review unfortunately.)
- James D. Watson; "Avoid boring people and other lessons from a life in science" New York: Random House. ISBN 978-0-375-41284-4, 366pp
- Maurice Wilkins; The Third Man of the Double Helix: The Autobiography of Maurice Wilkins ISBN 0-19-860665-6.



