Limit of a function
2008/9 Schools Wikipedia Selection. Related subjects: Mathematics
| Topics in calculus |
|
Fundamental theorem |
| Differentiation |
|
Product rule |
| Integration |
|
Lists of integrals |
In mathematics, the limit of a function is a fundamental concept in calculus and analysis concerning the behaviour of that function near a particular input. Informally, a function assigns an output f(x) to every input x. The function has a limit L at an input p if f(x) is "close" to L whenever x is "close" to p. In another words, f(x) become closer and closer to L as x move closer and closer to p. More specifically, when f is applied to each input sufficiently close to p, the result is an output value that is arbitrarily close to L. If the inputs "close" to p are taken to values that are very different, the limit is said to not exist. Formal definitions, first devised in the early 19th century, are given below.
History
Although implicit in the development of Calculus of the 17th and 18th centuries, the modern notion of the limit of a function goes back to Bolzano who, in 1817, introduced the basics of the epsilon-delta technique. However, his work was not known during his lifetime. Cauchy discussed limits in his Cours d'analyse (1821) and seems to have expressed the essence of the idea, but not in a systematic fashion. The first rigorous public presentation of the technique was given by Weierstrass in the 1850s and 1860s and has since become the standard method for dealing with limits.
The written notation using the lim abbreviation together with the arrow below is due to Hardy in his book A Course of Pure Mathematics in 1908.
Explanation
Imagine a plane flying over a landscape represented by the graph of y = f(x). Its horizontal position is measured by the value of x, much like the position given by a map of the land or by a global positioning system. Its altitude is given by the coordinate y. It's flying towards the horizontal position given by x = p. As it does so, it notices that its altitude approaches L. If later asked to guess the altitude over x = p, it would then answer L, even if it had never actually reached that position.
What does it mean to say that its altitude approaches L? It means that its altitude gets nearer and nearer to L except for a possible small error in accuracy. For example, suppose we set a particular accuracy goal for the plane: it must get within ten meters of L. The plane reports back that it can get within ten meters of L, since it states that when it is within fifty horizontal meters of p, its altitude is always ten meters or less from L.
We then change our accuracy goal: can it get within one meter? Yes. If it is within seven horizontal meters of p, then its altitude remains within one meter of the target L. In summary, to say that the plane's altitude approaches L as its horizontal position approaches p means that for every target accuracy goal, there is some area of p whose altitude remains within that accuracy goal.
The initial informal statement can now be explicated:
- The limit of a function f(x) as x approaches p is a number L with the following property: given any target distance from L, there is a distance from p within which the values of f(x) remain within the target distance.
This explicit statement is quite close to the formal definition of the limit of a function with values in a topological space.
Definitions
The following definitions are the generally accepted ones for the limit of a function in various contexts.
Functions on the real line
Suppose f : R → R is defined on the real line and p,L ∈ R then we say the limit of f as x approaches p is L and write
if and only if for every real ε > 0 there exists a real δ > 0 such that 0 < | x - p | < δ implies | f(x) - L | < ε. Note that the value of the limit does not depend on the value of f(p).
A more general definition applies for functions defined on subsets of the real line. Let (a,b) be an open interval in R, and p a point of (a,b). Let f be a real-valued function defined on all of (a, b) except possibly at p. We then say that the limit of f as x approaches p is L if and only if, for every real ε > 0 there exists a real δ > 0 such that 0 < | x - p | < δ and x ∈ (a,b) implies | f(x) - L | < ε. Note that the limit does not depend on f(p) being well-defined.
One-sided limits
Alternatively x may approach p from above (right) or below (left), in which case the limits may be written as
or
respectively. If both of these limits are equal to L then this can be referred to as the limit of f(x) at p. Conversely, if they are not both equal to L then the limit, as such, does not exist.
A formal definition is as follows. The limit of f(x) as x approaches p from above is L if, for every ε > 0, there exists a δ > 0 such that |f(x) - L| < ε whenever 0 < x - p < δ. The limit of f(x) as x approaches p from below is L if, for every ε > 0, there exists a δ > 0 such that |f(x) - L| < ε whenever 0 < p - x < δ.
If the limit does not exist there is a non-zero oscillation.
Functions on metric spaces
Suppose f : (M,dM) → (N,dN) is defined between two metric spaces, with x ∈ M, p a limit point of M and L ∈ N. We say that the limit of f as x approaches p is L and write
if and only if for every ε > 0 there exists a δ > 0 such that, dN(f(x), L) < ε whenever 0 < dM(x, p) < δ. Again, note that p need not be in the domain of f, nor does L need to be in the range of f.
An alternative definition using the concept of neighbourhood is as follows:
if and only if for every neighbourhood V of L in N there exists a neighbourhood U of p in M, such that f(U - {p}) ⊆ V.
Functions on topological spaces
Suppose X,Y are topological spaces with Y a Hausdorff space. Let p be a limit point of X, and L ∈Y. For a function f : X-{p} → Y, we say that the limit of f as x approaches p is L (i.e., f(x)→L as x→p) and write
if and only if for every neighbourhood V of L, there exists a neighbourhood U of p such that f(U- {p}) ⊆ V.
Note that the domain of f does not need to contain p. If it does, then the value of f at p is irrelevant to the definition of the limit. The last part of the definition can also be phrased "there exists a punctured neighbourhood U of p such that f(U) ⊆ V ".
One can formulate other similar definitions of the limit in a topological space. In one version, the domain of the function f is a subset Ω of the topological space X. In this case, the point p must be a limit point of Ω, and the limit is taken with respect to the induced topology on Ω ( one-sided limits, where the limit is taken inside an interval at one of the endpoints, are a special case of this).
In particular, if the domain of f is X - {p} (or all of X), then the limit of f as x → p exists and is equal to L if and only if for all subsets Ω of X with limit point p the limit of the restriction of f to Ω exists and is equal to L. Sometimes this criterion is used to establish the non-existence of the two-sided limit of a function on R by showing that the one-sided limits either fail to exist or do not agree. Such a view is fundamental in the field of general topology, where limits and continuity at a point are defined in terms of special families of subsets, called filters, or generalized sequences known as nets.
Alternatively, the requirement that Y be a Hausdorff space can be relaxed to the assumption that Y be a general topological space, but then the limit of a function will not be unique. In particular, one can no longer talk about the limit of a function at a point, but rather a limit or the set of limits at a point.
A function is continuous in a limit point p of and in its domain if and only f(p) is "the" (or in the general case: "a") limit of f(x) as x tends to p.
Limit of a function at infinity
If the affinely extended real number system (extended real line) R is considered, i.e., R ∪ {-∞, +∞}, then it is possible to define limits of a function at infinity.
If f(x) is a real function, then the limit of f as x approaches infinity is L, denoted
if and only if for all ε > 0 there exists S > 0 such that | f(x) − L | < ε whenever x > S.
Similarly, the limit of f as x approaches infinity is infinity, denoted
if and only if for all R > 0 there exists S > 0 such that f(x) > R whenever x > S.
In an analogous way, the following expressions can be defined:
.
These notions of a limit attempt to provide a metric space interpretation to limits at infinity. However, note that these notions of a limit are consistent with the topological space definition of limit if
- a neighbourhood of -∞ is defined to contain an interval [-∞,c) where c∈R
- a neighbourhood of ∞ is defined to contain an interval (c,∞] where c∈R
- a neighbourhood of a∈R is defined in the normal way metric space R
In this case, R is a topological space and any function of the form f:X → Y with X,Y⊆ R is subject to the topological definition of a limit. Note that with this topological definition, it is easy to define infinite limits at finite points, which have not been defined above in the metric sense.
Evaluating limits at infinity for rational functions
There are three basic rules for evaluating limits at infinity for a rational function f(x) = p(x)/q(x):
- If the degree of p is greater than the degree of q, then the limit is positive or negative infinity depending on the signs of the leading coefficients;
- If the degree of p and q are equal, the limit is the leading coefficient of p divided by the leading coefficient of q;
- If the degree of p is less than the degree of q, the limit is 0.
If the limit at infinity exists, it represents a horizontal asymptote at x = L. Polynomials do not have horizontal asymptotes; they may occur with rational functions.
Complex-valued functions
The complex plane with metric d(x,y): = | x − y | is also a metric space. There are two different types of limits when we consider complex-valued functions.
Limit of a function at a point
If f is a complex-valued function, then
if and only if for all ε > 0 there exists a δ > 0 such that for all real numbers x with 0 < | x − p | < δ, we have | f(x) − L | < ε.
It is just a particular case of functions over metric spaces with both M and N are the complex plane.
Limit of a function of more than one variable
By noting that |x-p| represents a distance, the definition of a limit can be extended to functions of more than one variable. In the case of a function f : R2 → R,
if and only if
- for every ε > 0 there exists a δ > 0 such that for all (x,y) with 0 < ||(x,y)-(p,q)|| < δ, we have |f(x,y)-L| < ε
where ||(x,y)-(p,q)|| represents the Euclidean distance. This can be extended to any number of variables.
Properties
To say that the limit of a function f at p is L is equivalent to saying
- for every convergent sequence (xn) in M with limit equal to p, the sequence (f(xn)) converges with limit L.
If the sets A, B, ... form a finite partition of the function domain,
, ... and the relative limit for each of those sets exist and is the equal to, say, L, then the limit exists for the point x and is equal to L.
The function f is continuous at p if and only if the limit of f(x) as x approaches p exists and is finite. Equivalently, f transforms every sequence in M which converges towards p into a sequence in N which converges towards f(p).
Again, if N is a normed vector space, then the limit operation is linear in the following sense: if the limit of f(x) as x approaches p is L and the limit of g(x) as x approaches p is P, then the limit of f(x) + g(x) as x approaches p is L + P. If a is a scalar from the base field, then the limit of af(x) as x approaches p is aL.
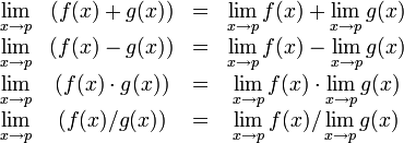
Taking the limit of functions is compatible with the algebraic operations, provided the limits on the right sides of the identity below exist:
(the last provided that the denominator is non-zero). In each case above, when the limits on the right do not exist, or, in the last case, when the limits in both the numerator and the denominator are zero, nonetheless the limit on the left may still exist -- this depends on which functions f and g are.
These rules are also valid for one-sided limits, for the case p = ±∞, and also for infinite limits using the rules
- q + ∞ = ∞ for q ≠ -∞
- q × ∞ = ∞ if q > 0
- q × ∞ = −∞ if q < 0
- q / ∞ = 0 if q ≠ ± ∞
(see extended real number line).
Note that there is no general rule for the case q / 0; it all depends on the way 0 is approached. Indeterminate forms — for instance, 0/0, 0×∞, ∞−∞, and ∞/∞ — are also not covered by these rules, but the corresponding limits can often be determined with L'Hôpital's rule or the Squeeze theorem.







