Mass
2008/9 Schools Wikipedia Selection. Related subjects: Physics
Mass is a fundamental concept in physics, roughly corresponding to the intuitive idea of "how much matter there is in an object". Mass is a central concept of classical mechanics and related subjects, and there are several definitions of mass within the framework of relativistic kinematics (see mass in special relativity and mass in General Relativity). In the theory of relativity, the quantity invariant mass, which in concept is close to the classical idea of mass, does not vary between single observers in different reference frames.
In everyday usage, mass is more commonly referred to as weight, but in physics and engineering, weight means the strength of the gravitational pull on the object; that is, how heavy it is, measured in units of force. In everyday situations, the weight of an object is proportional to its mass, which usually makes it unproblematic to use the same word for both concepts. However, the distinction between mass and weight becomes important:
- for measurements with a precision better than a few percent, due to slight differences in the strength of the Earth's gravitational field at different places
- for places far from the surface of the Earth, such as in space or on other planets
Units of mass
In the SI system of units, mass is measured in kilograms, kg. Many other units of mass are also employed, such as:
- the gram: 1 g = 0.001 kg
- the tonne: 1 tonne = 1000 kg
- the atomic mass unit
- the Planck mass
- the solar mass
- the eV/c2
Outside the SI system, a variety of different mass units are used, depending on context.
Because of the relativistic connection between mass and energy (see mass in special relativity), it is possible to use any unit of energy as a unit of mass instead. For example, the eV energy unit is normally used as a unit of mass (roughly 1.783 × 10-36 kg) in particle physics. A mass can sometimes also be expressed in terms of length. Here one identifies the mass of a particle with its inverse Compton wavelength (1 cm-1 ≈ 3.52×10-41 kg).
For more information on the different units of mass, see Orders of magnitude (mass).
Inertial and gravitational mass
One may distinguish conceptually between three types of mass or properties called mass:
- Inertial mass is a measure of an object's resistance to changing its state of motion when a force is applied. An object with small inertial mass changes its motion more readily, and an object with large inertial mass does so less readily.
- Passive gravitational mass is a measure of the strength of an object's interaction with a gravitational field. Within the same gravitational field, an object with a smaller passive gravitational mass experiences a smaller force than an object with a larger passive gravitational mass.
- Active gravitational mass is a measure of the strength of the gravitational field due to a particular object. For example, the gravitational field that one experiences on the Moon is weaker than that of the Earth because the Moon has less active gravitational mass.
Although inertial mass, passive gravitational mass and active gravitational mass are conceptually distinct, no experiment has ever unambiguously demonstrated any difference between them. In classical mechanics, Newton's third law implies that active and passive gravitational mass must always be identical (or at least proportional), but the classical theory offers no compelling reason why the gravitational mass has to equal the inertial mass. That it does is merely an empirical fact.
Albert Einstein developed his general theory of relativity starting from the assumption that this correspondence between inertial and (passive) gravitational mass is not accidental: that no experiment will ever detect a difference between them (the weak version of the equivalence principle). However, in the resulting theory gravitation is not a force and thus not subject to Newton's third law, so "the equality of inertial and active gravitational mass [...] remains as puzzling as ever".
Inertial mass
- This section uses mathematical equations involving differential calculus.
Inertial mass is the mass of an object measured by its resistance to acceleration.
To understand what the inertial mass of a body is, one begins with classical mechanics and Newton's Laws of Motion. Later on, we will see how our classical definition of mass must be altered if we take into consideration the theory of special relativity, which is more accurate than classical mechanics. However, the implications of special relativity will not change the meaning of "mass" in any essential way.
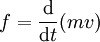
According to Newton's second law, we say that a body has a mass m if, at any instant of time, it obeys the equation of motion
where f is the force acting on the body and v is its velocity. For the moment, we will put aside the question of what "force acting on the body" actually means.
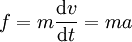
Now, suppose that the mass of the body in question is a constant. This assumption, known as the conservation of mass, rests on the ideas that (i) mass is a measure of the amount of matter contained in a body, and (ii) matter can never be created or destroyed, only split up or recombined. These are very reasonable assumptions for everyday objects, though, as we will see, mass can indeed be created or destroyed when we take special relativity into account. Another point to note is that, even in classical mechanics, it is sometimes useful to treat the mass of an object as changing with time. For example, the mass of a rocket decreases as the rocket fires. However, this is an approximation, based on ignoring pieces of matter which enter or leave the system. In the case of the rocket, these pieces correspond to the ejected propellant; if we were to measure the total mass of the rocket and its propellant, we would find that it is conserved.
When the mass of a body is constant, Newton's second law becomes
where a denotes the acceleration of the body.
This equation illustrates how mass relates to the inertia of a body. Consider two objects with different masses. If we apply an identical force to each, the object with a bigger mass will experience a smaller acceleration, and the object with a smaller mass will experience a bigger acceleration. We might say that the larger mass exerts a greater "resistance" to changing its state of motion in response to the force.
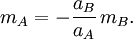
However, this notion of applying "identical" forces to different objects brings us back to the fact that we have not really defined what a force is. We can sidestep this difficulty with the help of Newton's third law, which states that if one object exerts a force on a second object, it will experience an equal and opposite force. To be precise, suppose we have two objects A and B, with constant inertial masses mA and mB. We isolate the two objects from all other physical influences, so that the only forces present are the force exerted on A by B, which we denote fAB, and the force exerted on B by A, which we denote fBA. As we have seen, Newton's second law states that
and 
where aA and aB are the accelerations of A and B respectively. Suppose that these accelerations are non-zero, so that the forces between the two objects are non-zero. This occurs, for example, if the two objects are in the process of colliding with one another. Newton's third law then states that
Substituting this into the previous equations, we obtain
Note that our requirement that aA be non-zero ensures that the fraction is well-defined.
This is, in principle, how we would measure the inertial mass of an object. We choose a "reference" object and define its mass mB as (say) 1 kilogram. Then we can measure the mass of any other object in the universe by colliding it with the reference object and measuring the accelerations.
Gravitational mass
Gravitational mass is the mass of an object measured using the effect of a gravitational field on the object.
The concept of gravitational mass rests on Newton's law of gravitation. Let us suppose we have two objects A and B, separated by a distance |rAB|. The law of gravitation states that if A and B have gravitational masses MA and MB respectively, then each object exerts a gravitational force on the other, of magnitude
where G is the universal gravitational constant. The above statement may be reformulated in the following way: if g is the acceleration of a reference mass at a given location in a gravitational field, then the gravitational force on an object with gravitational mass M is
This is the basis by which masses are determined by weighing. In simple bathroom scales, for example, the force f is proportional to the displacement of the spring beneath the weighing pan (see Hooke's law), and the scales are calibrated to take g into account, allowing the mass M to be read off. Note that a balance (see the subheading within Weighing scale) as used in the laboratory or the health club measures gravitational mass; only the spring scale measures weight.
Equivalence of inertial and gravitational masses
The equivalence of inertial and gravitational masses is sometimes referred to as the Galilean equivalence principle or weak equivalence principle. The most important consequence of this equivalence principle applies to freely falling objects. Suppose we have an object with inertial and gravitational masses m and M respectively. If the only force acting on the object comes from a gravitational field g, combining Newton's second law and the gravitational law yields the acceleration
This says that the ratio of gravitational to inertial mass of any object is equal to some constant K if and only if all objects fall at the same rate in a given gravitational field. This phenomenon is referred to as the universality of free-fall. (In addition, the constant K can be taken to be 1 by defining our units appropriately.)
The first experiments demonstrating the universality of free-fall were conducted by Galileo. It is commonly stated that Galileo obtained his results by dropping objects from the Leaning Tower of Pisa, but this is most likely apocryphal; actually, he performed his experiments with balls rolling down inclined planes. Increasingly precise experiments have been performed, such as those performed by Loránd Eötvös, using the torsion balance pendulum, in 1889. As of 2008, no deviation from universality, and thus from Galilean equivalence, has ever been found, at least to the accuracy 1/1012. More precise experimental efforts are still being carried out.
The universality of free-fall only applies to systems in which gravity is the only acting force. All other forces, especially friction and air resistance, must be absent or at least negligible. For example, if a hammer and a feather are dropped from the same height on Earth, the feather will take much longer to reach the ground; the feather is not really in free-fall because the force of air resistance upwards against the feather is comparable to the downward force of gravity. On the other hand, if the experiment is performed in a vacuum, in which there is no air resistance, the hammer and the feather should hit the ground at exactly the same time (assuming the acceleration of both objects towards each other, and of the ground towards both objects, for its own part, is negligible). This demonstration is easily done in a high-school laboratory, using two transparent tubes connected to a vacuum pump.
A stronger version of the equivalence principle, known as the Einstein equivalence principle or the strong equivalence principle, lies at the heart of the general theory of relativity. Einstein's equivalence principle states that within sufficiently small regions of space-time, it is impossible to distinguish between a uniform acceleration and a uniform gravitational field. Thus, the theory postulates that inertial and gravitational masses are fundamentally the same thing.







