Negative and non-negative numbers
2008/9 Schools Wikipedia Selection. Related subjects: Mathematics
A negative number is a number that is less than zero, such as −3. A positive number is a number that is greater than zero, such as 3. Zero itself is neither positive nor negative. The non-negative numbers are the real numbers that are not negative (they are positive or zero). The non-positive numbers are the real numbers that are not positive (they are negative or zero).
In the context of complex numbers, positive implies real, but for clarity one may say "positive real number".
Negative numbers
Negative integers can be regarded as an extension of the natural numbers, such that the equation x − y = z has a meaningful solution for all values of x and y. The other sets of numbers are then derived as progressively more elaborate extensions and generalizations from the integers.
Negative numbers are useful to describe values on a scale that goes below zero, such as temperature, and also in bookkeeping where they can be used to represent debts. In bookkeeping, debts are often represented by red numbers, or a number in parentheses.
Non-negative numbers
A number is non-negative if and only if it is greater than or equal to zero, i.e., positive or zero. Thus the nonnegative integers are all the integers from zero on upwards, and the nonnegative reals are all the real numbers from zero on upwards.
A real matrix A is called nonnegative if every entry of A is nonnegative.
A real matrix A is called totally nonnegative by matrix theorists or totally positive by computer scientists if the determinant of every square submatrix of A is nonnegative.
The negative of a number is unique
The negative of a number is unique, as is shown by the following proof.
The proof is by contradiction.
Let x be a number and let –x be its negative. Let
. Let
be another negative of x. Then it must be true that
. By an axiom of the real number system
,
.
And so,
. Using the law of cancellation for addition, it is seen that
, which contradicts our assumption. Therefore
is the same number as
and is the unique negative of x.
Signum function
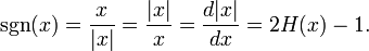
It is possible to define a function sgn(x) on the real numbers which is 1 for positive numbers, −1 for negative numbers and 0 for zero (sometimes called the signum function):
We then have (except for x=0):
Where |x| is the absolute value of x and H(x) is the Heaviside step function. See also derivative.
Complex Signum function
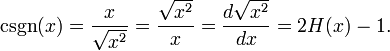
It is possible to define a function csgn(x) on the complex numbers which is 1 for positive numbers, −1 for negative numbers and 0 for zero (sometimes called the complex signum function):
Where the complex inequality should be interpreted as follows
We then have (except for x=0):
Arithmetic involving signed numbers
Addition and subtraction
For purposes of addition and subtraction, one can think of negative numbers as debts.
Adding a negative number is the same as subtracting the corresponding positive number:
- 5 + (−3) = 5 − 3 = 2
- (if you have $5 and acquire a debt of $3, then you have a net worth of $2)
- –2 + (−5) = −2 − 5 = −7
- (if you have $5 and acquire a debt of $3, then you have a net worth of $2)
(In order to avoid confusion between the concepts of subtraction and negation, often the negative sign is written as a superscript:
- −2 + −5 = −2 − 5 = −7)
Subtracting a positive number from a smaller positive number yields a negative result:
- 4 − 6 = −2
- (if you have $4 and spend $6 then you have a debt of $2).
Subtracting a positive number from any negative number yields a negative result:
- −3 − 6 = −9
- (if you have a debt of $3 and spend another $6, you have a debt of $9).
Subtracting a negative is equivalent to adding the corresponding positive:
- 5 − (−2) = 5 + 2 = 7
- (if you have a net worth of $5 and you get rid of a debt of $2, then your new net worth is $7).
Also:
- −8 − (−3) = −5
- (if you have a debt of $8 and get rid of a debt of $3, then you still have a debt of $5).
Multiplication
Brahmagupta stated in Brahmasputhasiddhanta "positive times positive is positive and negative times negative is positive". This notion was challenged by Lazare Carnot (1753 - 1823). He asked how could the square of a smaller number be larger than the square of a large number. In other words square of -3 is larger than the square of 2. Yet -3 is smaller than 2. This objection of Carnot to Brahmagupta's notion stood unchallenged for a century. Great mathematicians such as Euler, Laplace and Cauchy were unable to provide a complete answer. Hermann Hankel proved using complex numbers that Brahmagupta was right. (Reference Intuition in Science and Mathematics, Efrain Fischbein, Kluwer Academic Publishers, Springer, 1899). Multiplication of a negative number by a positive number yields a negative result: −2 × 3 = −6. Multiplication of two negative numbers yields a positive result: −4 × −3 = 12.
One way of understanding this is to regard multiplication by a positive number as repeated addition. Think of 3 x 2 as 3 groups, with 2 in each group. Thus, 3 × 2 = 2 + 2 + 2 = 6 and so naturally −2 × 3 = (−2) + (−2) + (−2) = −6.
Multiplication by a negative number can be regarded as repeated addition as well. For instance, 3 × -2 can be thought of as 3 groups, with -2 in each group. 3 × −2 = (-2) + (−2) + (-2) = −6. Notice that this keeps multiplication commutative: 3 × −2 = −2 × 3 = −6.
Applying the same interpretation of "multiplication by a negative number" for a value that is also negative, we have:
| −4 × −3 | = − (−4) − (−4) − (−4) |
| = 4 + 4 + 4 | |
| = 12 |
However, from a formal viewpoint, multiplication between two negative numbers is directly received by means of the distributivity of multiplication over addition:
| −1 × −1 | |
| = (−1) × (−1) + (−2) + 2 | |
| = (−1) × (−1) + (−1) × 2 + 2 | |
| = (−1) × (−1 + 2) + 2 | |
| = (−1) × 1 + 2 | |
| = (−1) + 2 | |
| = 1 |
Division
Division is similar to multiplication. Brahmagupta stated for the first time that negative divided by negative to be positive. Positive divided by negative to be negative. (Reference: Arithmetic and mensuration of Brahmagupta by HT Colebrooke). Brahmagupta's convention has survived to date: if the dividend and divisor have different signs, then the result is negative.
- 8 / −2 = −4
- −10 / 2 = −5
If dividend and divisor have the same sign, the result is positive, even if both are negative.
- −12 / −3 = 4
Formal construction of negative and non-negative integers
In a similar manner to rational numbers, we can extend the natural numbers N to the integers Z by defining integers as an ordered pair of natural numbers (a, b). We can extend addition and multiplication to these pairs with the following rules:
- (a, b) + (c, d) = (a + c, b + d)
- (a, b) × (c, d) = (a × c + b × d, a × d + b × c)
We define an equivalence relation ~ upon these pairs with the following rule:
- (a, b) ~ (c, d) if and only if a + d = b + c.
This equivalence relation is compatible with the addition and multiplication defined above, and we may define Z to be the quotient set N²/~, i.e. we identify two pairs (a, b) and (c, d) if they are equivalent in the above sense.
We can also define a total order on Z by writing
- (a, b) ≤ (c, d) if and only if a + d ≤ b + c.
This will lead to an additive zero of the form (a, a), an additive inverse of (a, b) of the form (b, a), a multiplicative unit of the form (a + 1, a), and a definition of subtraction
- (a, b) − (c, d) = (a + d, b + c).
First use of negative numbers
For a long time, negative solutions to problems were considered "false" because they could not be found in the real world (in the sense that one cannot, for example, have a negative number of seeds). The abstract concept was recognised as early as 100 B.C. – 50 B.C. A Chinese work, Nine Chapters on the Mathematical Art (Jiu-zhang Suanshu), contains methods for finding the areas of figures; red counting rods were used to denote positive coefficients, black rods for negative. The Chinese were also able to solve simultaneous equations involving negative numbers. The ancient Indian Bakhshali Manuscript, which was written at some time between 200 B.C. and A.D. 300, carried out calculations with negative numbers, using "+" as a negative sign. These are the earliest known uses of negative numbers.
In Hellenistic Egypt, Diophantus in the third century A.D. referred to an equation that was equivalent to 4x + 20 = 0 (which has a negative solution) in Arithmetica, saying that the equation was absurd. This indicates that no concept of negative numbers existed in the ancient Mediterranean.
During the seventh century A.D., negative numbers were used in India to represent debts. The Indian mathematician Brahmagupta, in Brahma-Sphuta-Siddhanta (written in A.D. 628), discussed the use of negative numbers to produce the general form quadratic formula that remains in use today. He also found negative solutions of quadratic equations and gave rules regarding operations involving negative numbers and zero, such as "A debt cut off from nothingness becomes a credit; a credit cut off from nothingness becomes a debt. " He called positive numbers "fortunes," zero "a cipher," and negative numbers "debts."
During the eighth century A.D., the Islamic world learned about negative numbers from Arabic translations of Brahmagupta's works, and by A.D. 1000 Arab mathematicians were using negative numbers for debts.
In the twelfth century A.D. in India, Bhaskara also gave negative roots for quadratic equations but rejected them because they were inappropriate in the context of the problem. He stated that a negative value is "in this case not to be taken, for it is inadequate; people do not approve of negative roots."
Knowledge of negative numbers eventually reached Europe through Latin translations of Arabic and Indian works.
European mathematicians, for the most part, resisted the concept of negative numbers until the 17th century, although Fibonacci allowed negative solutions in financial problems where they could be interpreted as debits (chapter 13 of Liber Abaci, A.D. 1202) and later as losses (in Flos). At this time, the Chinese were indicating negative numbers by drawing a diagonal stroke through the right-most non-zero digit.
In the 15th century, Nicolas Chuquet, a Frenchman, used negative numbers as exponents and referred to them as “absurd numbers.”
In A.D. 1759, Francis Maseres, an English mathematician, wrote that negative numbers "darken the very whole doctrines of the equations and make dark of the things which are in their nature excessively obvious and simple". He came to the conclusion that negative numbers did not exist.
Negative numbers were not well understood until modern times. As recently as the 18th century, the Swiss mathematician Leonhard Euler believed that negative numbers were greater than infinity, a viewpoint which was shared by John Wallis. It was common practice at that time to ignore any negative results derived from equations, on the assumption that they were meaningless.4 The argument that negative numbers are greater than infinity involved the quotient 1/x and considering what happens as x approaches and crosses the point x = 0 from the positive side.




