Plane (mathematics)
2008/9 Schools Wikipedia Selection. Related subjects: Mathematics
In mathematics, a plane is a two-dimensional manifold or surface that is perfectly flat. Informally, it can be thought of as an infinitely vast and infinitesimally thin sheet oriented in some space. Formally, it is an affine space of dimension two.
When working in two-dimensional Euclidean space, the definite article is used, the plane, to refer to the whole space. Many fundamental tasks in geometry, trigonometry, and graphing are performed in two-dimensional space, or in other words, in the plane. A lot of mathematics can be and has been performed in the plane, notably in the areas of geometry, trigonometry, graph theory and graphing.
Euclidean geometry
In Euclidean space a plane is a surface such that, given any two distinct points on the surface, the surface also contains the unique straight line that passes through those points.
The fundamental structure of two such planes will always be the same. In mathematics this is described as topological equivalence. Informally though, it means that any two planes look the same.
A plane can be uniquely determined by any of the following (sets of) objects:
- three non-collinear points (i.e., not lying on the same line)
- a line and a point not on the line
- two lines with one point of intersection
- two parallel lines
Planes embedded in R3
This section is specifically concerned with planes embedded in three dimensions: specifically, in ℝ3.
Properties
In three-dimensional Euclidean space, we may exploit the following facts that do not hold in higher dimensions:
- Two planes are either parallel or they intersect in a line.
- A line is either parallel to a plane or intersects it at a single point or is contained in the plane.
- Two lines perpendicular to the same plane must be parallel to each other.
- Two planes perpendicular to the same line must be parallel to each other.
Define a plane with a point and a normal vector
In a three-dimensional space, another important way of defining a plane is by specifying a point and a normal vector to the plane.
Let
be the point we wish to lie in the plane, and let
be a nonzero normal vector to the plane. The desired plane is the set of all points
such that 
If we write
,
and d as the dot product
, then the plane Π is determined by the condition
, where a, b, c and d are real numbers and a,b, and c are not all zero.
Alternatively, a plane may be described parametrically as the set of all points of the form
where s and t range over all real numbers, and
,
and
are given vectors defining the plane.
points from the origin to an arbitrary point on the plane, and
and
can be visualized as starting at
and pointing in different directions along the plane.
and
can, but do not have to be perpendicular (but they cannot be collinear).
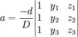
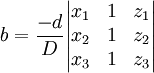
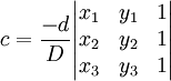
Define a plane through three points
- The plane passing through three points
,
and
can be defined as the set of all points (x,y,z) that satisfy the following determinant equations:
- To describe the plane as an equation in the form ax + by + cz + d = 0, solve the following system of equations:


.
This system can be solved using Cramer's Rule and basic matrix manipulations. Let
. Then,
.
These equations are parametric in d. Setting d equal to any non-zero number and substituting it into these equations will yield one solution set.
- This plane can also be described by the "point and a normal vector" prescription above.
A suitable normal vector is given by the cross product
and the point
can be taken to be any of given points
or
.
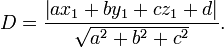
Distance from a point to a plane
For a plane
and a point
not necessarily lying on the plane, the shortest distance from
to the plane is
It follows that
lies in the plane if and only if D=0.
If
meaning that a, b and c are normalized then the equation becomes
Line of intersection between two planes
Given intersecting planes described by
and
, the line of intersection is perpendicular to both
and
and thus parallel to
.
If we further assume that
and
are orthonormal then the closest point on the line of intersection to the origin is
.
Dihedral angle
Given two intersecting planes described by
and
, the dihedral angle between them is defined to be the angle α between their normal directions:
Planes in various areas of mathematics
In addition to its familiar geometric structure, with isomorphisms that are isometries with respect to the usual inner product, the plane may be viewed at various other levels of abstraction. Each level of abstraction corresponds to a specific category.
At one extreme, all geometrical and metric concepts may be dropped to leave the topological plane, which may be thought of as an idealised homotopically trivial infinite rubber sheet, which retains a notion of proximity, but has no distances. The topological plane has a concept of a linear path, but no concept of a straight line. The topological plane, or its equivalent the open disc, is the basic topological neighbourhood used to construct surfaces (or 2-manifolds) classified in low-dimensional topology. Isomorphisms of the topological plane are all continuous bijections. The topological plane is the natural context for the branch of graph theory that deals with planar graphs, and results such as the four colour theorem.
The plane may also be viewed as an affine space, whose isomorphisms are combinations of translations and non-singular linear maps. From this viewpoint there are no distances, but colinearity and ratios of distances on any line are preserved.
Differential geometry views a plane as a 2-dimensional real manifold, a topological plane which is provided with a differential structure. Again in this case, there is no notion of distance, but there is now a concept of smoothness of maps, for example a differentiable or smooth path (depending on the type of differential structure applied). The isomorphisms in this case are bijections with the chosen degree of differentiability.
In the opposite direction of abstraction, we may apply a compatible field structure to the geometric plane, giving rise to the complex plane and the major area of complex analysis. The complex field has only two isomorphisms that leave the real line fixed, the identity and conjugation.
In the same way as in the real case, the plane may also be viewed as the simplest, one-dimensional (over the complex numbers) complex manifold, sometimes called the complex line. However, this viewpoint contrasts sharply with the case of the plane as a 2-dimensional real manifold. The isomorphisms are all conformal bijections of the complex plane, but the only possibilities are maps that correspond to the composition of a multiplication by a complex number and a translation.
In addition, the Euclidean geometry (which has zero curvature everywhere) is not the only geometry that the plane may have. The plane may be given a spherical geometry by using the stereographic projection. This can be thought of as placing a sphere on the plane (just like a ball on the floor), removing the top point, and projecting the sphere onto the plane from this point). This is one of the projections that may be used in making a flat map of part of the Earth's surface. The resulting geometry has constant positive curvature.
Alternatively, the plane can also be given a metric which gives it constant negative curvature giving the hyperbolic plane. The latter possibility finds an application in the theory of special relativity in the simplified case where there are two spatial dimensions and one time dimension. (The hyperbolic plane is a timelike hypersurface in three-dimensional Minkowski space.)






