Prime number
2008/9 Schools Wikipedia Selection. Related subjects: Mathematics
| Divisibility-based sets of integers |
| Form of factorization: |
| Prime number |
| Composite number |
| Powerful number |
| Square-free number |
| Achilles number |
| Constrained divisor sums: |
| Perfect number |
| Almost perfect number |
| Quasiperfect number |
| Multiply perfect number |
| Hyperperfect number |
| Superperfect number |
| Unitary perfect number |
| Semiperfect number |
| Primitive semiperfect number |
| Practical number |
| Numbers with many divisors: |
| Abundant number |
| Highly abundant number |
| Superabundant number |
| Colossally abundant number |
| Highly composite number |
| Superior highly composite number |
| Other: |
| Deficient number |
| Weird number |
| Amicable number |
| Friendly number |
| Sociable number |
| Solitary number |
| Sublime number |
| Harmonic divisor number |
| Frugal number |
| Equidigital number |
| Extravagant number |
| See also: |
| Divisor function |
| Divisor |
| Prime factor |
| Factorization |
In mathematics, a prime number (or a prime) is a natural number (greater than one) which has exactly two distinct natural number divisors: 1 and itself. An infinitude of prime numbers exists, as demonstrated by Euclid around 300 BC. The first thirty prime numbers are:
- 2, 3, 5, 7, 11, 13, 17, 19, 23, 29, 31, 37, 41, 43, 47, 53, 59, 61, 67, 71, 73, 79, 83, 89, 97, 101, 103, 107, 109, 113
(sequence A000040 in OEIS)
See the list of prime numbers for a longer list. The number one is by definition not a prime number; see the discussion below under Primality of one.
The property of being a prime is called primality, and the word prime is also used as an adjective. Since two is the only even prime number, the term odd prime refers to any prime number greater than two.
The study of prime numbers is part of number theory, the branch of mathematics which encompasses the study of natural numbers. Prime numbers have been the subject of intense research, yet some fundamental questions, such as the Riemann hypothesis and the Goldbach conjecture, have been unresolved for more than a century. The problem of modelling the distribution of prime numbers is a popular subject of investigation for number theorists: when looking at individual numbers, the primes seem to be randomly distributed, but the “global” distribution of primes follows well-defined laws.
The notion of prime number has been generalized in many different branches of mathematics.
- In ring theory, a branch of abstract algebra, the term “prime element” has a specific meaning. Here, a non-zero, non-unit ring element a is defined to be prime if whenever a divides bc for ring elements b and c, then a divides at least one of b or c. With this meaning, the additive inverse of any prime number is also prime. In other words, when considering the set of integers as a ring, −7 is a prime element. Without further specification, however, “prime number” always means a positive integer prime. Among rings of complex algebraic integers, Eisenstein primes, and Gaussian primes may also be of interest.
- In knot theory, a prime knot is a knot which can not be written as the knot sum of two lesser nontrivial knots.
History of prime numbers

There are hints in the surviving records of the ancient Egyptians that they had some knowledge of prime numbers: the Egyptian fraction expansions in the Rhind papyrus, for instance, have quite different forms for primes and for composites. However, the earliest surviving records of the explicit study of prime numbers come from the Ancient Greeks. Euclid's Elements (circa 300 BC) contain important theorems about primes, including the infinitude of primes and the fundamental theorem of arithmetic. Euclid also showed how to construct a perfect number from a Mersenne prime. The Sieve of Eratosthenes, attributed to Eratosthenes, is a simple method to compute primes, although the large primes found today with computers are not generated this way.
After the Greeks, little happened with the study of prime numbers until the 17th century. In 1640 Pierre de Fermat stated (without proof) Fermat's little theorem (later proved by Leibnitz and Euler). A special case of Fermat's theorem may have been known much earlier by the Chinese. Fermat conjectured that all numbers of the form 22n + 1 are prime (they are called Fermat numbers) and he verified this up to n = 4. However, the very next Fermat number 232+1 is composite (one of its prime factors is 641), as Euler discovered later, and in fact no further Fermat numbers are known to be prime. The French monk Marin Mersenne looked at primes of the form 2p - 1, with p a prime. They are called Mersenne primes in his honour.
Euler's work in number theory included many results about primes. He showed the infinite series 1/2 + 1/3 + 1/5 + 1/7 + 1/11 + … is divergent. In 1747 he showed that the even perfect numbers are precisely the integers of the form 2p-1(2p-1) where the second factor is a Mersenne prime. It is believed no odd perfect numbers exist, but there is still no proof.
At the start of the 19th century, Legendre and Gauss independently conjectured that as x tends to infinity, the number of primes up to x is asymptotic to x/log(x), where log(x) is the natural logarithm of x. Ideas of Riemann in his 1859 paper on the zeta-function sketched a program which would lead to a proof of the prime number theorem. This outline was completed by Hadamard and de la Vallée Poussin, who independently proved the prime number theorem in 1896.
Proving a number is prime is not done (for large numbers) by trial division. Many mathematicians have worked on primality tests for large numbers, often restricted to specific number forms. This includes Pépin's test for Fermat numbers (1877), Proth's theorem (around 1878), the Lucas–Lehmer test for Mersenne numbers (originated 1856), and the generalized Lucas–Lehmer test. More recent algorithms like APRT-CL, ECPP and AKS work on arbitrary numbers but remain much slower.
For a long time, prime numbers were thought as having no possible application outside of pure mathematics; this changed in the 1970s when the concepts of public-key cryptography were invented, in which prime numbers formed the basis of the first algorithms such as the RSA cryptosystem algorithm.
Since 1951 all the largest known primes have been found by computers. The search for ever larger primes has generated interest outside mathematical circles. The Great Internet Mersenne Prime Search and other distributed computing projects to find large primes have become popular in the last ten to fifteen years, while mathematicians continue to struggle with the theory of primes.
Primality of one
Until the 19th century, most mathematicians considered the number 1 a prime, and there is still a large body of mathematical work that is valid despite labeling 1 a prime, such as the work of Stern and Zeisel. Derrick Norman Lehmer's list of primes up to 10006721, reprinted as late as 1956,, started with 1 as its first prime. Henri Lebesgue is said to be the last professional mathematician to call 1 prime. The change in label occurred so that the fundamental theorem of arithmetic, as stated, is valid, i.e., “each number has a unique factorization into primes”
Prime divisors
The fundamental theorem of arithmetic states that every positive integer larger than 1 can be written as a product of one or more primes in a way which is unique except possibly for the order of the prime factors. The same prime factor may occur multiple times. Primes can thus be considered the “basic building blocks” of the natural numbers. For example, we can write
and any other factorization of 23244 as the product of primes will be identical except for the order of the factors. There are many prime factorization algorithms to do this in practice for larger numbers.
The importance of this theorem is one of the reasons for the exclusion of 1 from the set of prime numbers. If 1 were admitted as a prime, the precise statement of the theorem would require additional qualifications.
Properties of primes
- When written in base 10, all prime numbers except 2 and 5 end in 1, 3, 7 or 9. (Numbers ending in 0, 2, 4, 6 or 8 represent multiples of 2 and numbers ending in 0 or 5 represent multiples of 5.)
- If p is a prime number and p divides a product ab of integers, then p divides a or p divides b. This proposition was proved by Euclid and is known as Euclid's lemma. It is used in some proofs of the uniqueness of prime factorizations.
- The ring Z/nZ (see modular arithmetic) is a field if and only if n is a prime. Put another way: n is prime if and only if φ(n) = n − 1.
- If p is prime and a is any integer, then ap − a is divisible by p ( Fermat's little theorem).
- If p is a prime number other than 2 and 5, 1/p is always a recurring decimal, whose period is p − 1 or a divisor of p − 1. This can be deduced directly from Fermat's little theorem. 1/p expressed likewise in base q (other than base 10) has similar effect, provided that p is not a prime factor of q. The article on recurring decimals shows some of the interesting properties.
- An integer p > 1 is prime if and only if the factorial (p − 1)! + 1 is divisible by p ( Wilson's theorem). Conversely, an integer n > 4 is composite if and only if (n − 1)! is divisible by n.
- If n is a positive integer greater than 1, then there is always a prime number p with n < p < 2n ( Bertrand's postulate).
- Adding the reciprocals of all primes together results in a divergent infinite series ( proof). More precisely, if S(x) denotes the sum of the reciprocals of all prime numbers p with p ≤ x, then S(x) = ln ln x + O(1) for x → ∞.
- In every arithmetic progression a, a + q, a + 2q, a + 3q,… where the positive integers a and q are coprime, there are infinitely many primes ( Dirichlet's theorem on arithmetic progressions).
- The characteristic of every field is either zero or a prime number.
- If G is a finite group and pn is the highest power of the prime p which divides the order of G, then G has a subgroup of order pn. ( Sylow theorems.)
- If G is a finite group and p is a prime number dividing the order of G, then G contains an element of order p. ( Cauchy Theorem)
- The prime number theorem says that the proportion of primes less than x is asymptotic to 1/ln x (in other words, as x gets very large, the likelihood that a number less than x is prime is inversely proportional to the number of digits in x).
- The Copeland-Erdős constant 0.235711131719232931374143…, obtained by concatenating the prime numbers in base ten, is known to be an irrational number.
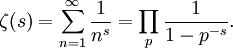
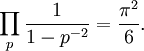
- The value of the Riemann zeta function at each point in the complex plane is given as a meromorphic continuation of a function, defined by a product over the set of all primes for Re(s) > 1:
-
- Evaluating this identity at different integers provides an infinite number of products over the primes whose values can be calculated, the first two being
- If p > 1, the polynomial
is irreducible over Z/pZ if and only if p is prime.
Classification of prime numbers
Two ways of classifying prime numbers, class n+ and class n−, were studied by Paul Erdős and John Selfridge.
Determining the class n+ of a prime number p involves looking at the largest prime factor of p + 1. If that largest prime factor is 2 or 3, then p is class 1+. But if that largest prime factor is another prime q, then the class n+ of p is one more than the class n+ of q. Sequences A005105 through A005108 list class 1+ through class 4+ primes.
The class n− is almost the same as class n+, except that the factorization of p − 1 is looked at instead.
The number of prime numbers
There are infinitely many prime numbers
The oldest known proof for the statement that there are infinitely many prime numbers is given by the Greek mathematician Euclid in his Elements (Book IX, Proposition 20). Euclid states the result as "there are more than any given [finite] number of primes", and his proof is essentially the following:
Consider any finite set of primes. Multiply all of them together and add one (see Euclid number). The resulting number is not divisible by any of the primes in the finite set we considered, because dividing by any of these would give a remainder of one. Because all non-prime numbers can be decomposed into a product of underlying primes, then either this resultant number is prime itself, or there is a prime number or prime numbers which the resultant number could be decomposed into but are not in the original finite set of primes. Either way, there is at least one more prime that was not in the finite set we started with. This argument applies no matter what finite set we began with. So there are more primes than any given finite number.
This previous argument explains why the product P of finitely many primes plus 1 must be divisible by some prime not among those finitely many primes (possibly itself).
The proof is sometimes phrased in a way that leads the student to conclude that P + 1 must itself be prime, and think that Euclid's proof says the prime product plus 1 is always prime. The simple example of (2 · 3 · 5 · 7 · 11 · 13) + 1 = 30,031 = 59 · 509 (both primes) shows that this is not the case. In fact, any set of primes which does not include 2 will have an odd product. Adding 1 to this product will always produce an even number, which will be divisible by 2 (and therefore not be prime).
Other mathematicians have given other proofs. One of these (due to Euler) shows that the sum of the reciprocals of all prime numbers diverges. Another proof based on Fermat numbers was given by Goldbach. Kummer's is particularly elegant and Harry Furstenberg provides one using general topology.
Counting the number of prime numbers below a given number
Even though the total number of primes is infinite, one could still ask "Approximately how many primes are there below 100,000?", or "How likely is a random 20-digit number to be prime?".
The prime-counting function π(x) is defined as the number of primes up to x. There are known algorithms to compute exact values of π(x) faster than it would be possible to compute each prime up to x. Values as large as π(1020) can be calculated quickly and accurately with modern computers. Thus, e.g., π(100000) = 9592, and π(1020) = 2,220,819,602,560,918,840.
For larger values of x, beyond the reach of modern equipment, the prime number theorem provides a good estimate: π(x) is approximately x/ln(x). Even better estimates are known.
Location of prime numbers
Finding prime numbers
The ancient Sieve of Eratosthenes is a simple way to compute all prime numbers up to a given limit, by making a list of all integers and repeatedly striking out multiples of already found primes. The modern Sieve of Atkin is more complicated, but faster when properly optimized.
In practice one often wants to check whether a given number is prime, rather than generate a list of primes. Further, it is often satisfactory to know the answer with a high probability. It is possible to quickly check whether a given large number (say, up to a few thousand digits) is prime using probabilistic primality tests. These typically pick a random number called a "witness" and check some formula involving the witness and the potential prime N. After several iterations, they declare N to be "definitely composite" or "probably prime". Some of these tests are not perfect: there may be some composite numbers, called pseudoprimes for the respective test, that will be declared "probably prime" no matter what witness is chosen. However, the most popular probabilistic tests do not suffer from this drawback.
One method for determining whether a number is prime is to divide by all primes less than or equal to the square root of that number. If any of the divisions come out as an integer, then the original number is not a prime. Otherwise, it is a prime. One need not actually calculate the square root; once one sees that the quotient is less than the divisor, one can stop. This is known as trial division; it is the simplest primality test and it quickly becomes impractical for testing large integers because the number of possible factors grows exponentially as the number of digits in the number-to-be-tested increases.
Primality tests
A primality test algorithm is an algorithm which tests a number for primality, i.e. whether the number is a prime number.
- AKS primality test
- Fermat primality test
- Lucas-Lehmer test
- Solovay-Strassen primality test
- Miller-Rabin primality test
- Elliptic curve primality proving
A probable prime is an integer which, by virtue of having passed a certain test, is considered to be probably prime. Probable primes which are in fact composite (such as Carmichael numbers) are called pseudoprimes.
In 2002, Indian scientists at IIT Kanpur discovered a new deterministic algorithm known as the AKS algorithm. The amount of time that this algorithm takes to check whether a number N is prime depends on a polynomial function of the number of digits of N (i.e. of the logarithm of N).
Formulas yielding prime numbers
There is no known formula for primes which is more efficient at finding primes than the methods mentioned above under “Finding prime numbers”.
There is a set of Diophantine equations in 9 variables and one parameter with the following property: the parameter is prime if and only if the resulting system of equations has a solution over the natural numbers. This can be used to obtain a single formula with the property that all its positive values are prime.
There is no polynomial, even in several variables, that takes only prime values. For example, the curious polynomial in one variable f(n) = n2 − n + 41 yields primes for n = 0,…, 40,43 but f(41) and f(42) are composite. However, there are polynomials in several variables, whose positive values as the variables take all positive integer values are exactly the primes.
Another formula is based on Wilson's theorem mentioned above, and generates the number two many times and all other primes exactly once. There are other similar formulas which also produce primes.
Special types of primes from formulas for primes
A prime p is called primorial or prime-factorial if it has the form p = n# ± 1 for some number n, where n# stands for the product 2 · 3 · 5 · 7 · 11 · … of all the primes ≤ n. A prime is called factorial if it is of the form n! ± 1. The first factorial primes are:
- n! − 1 is prime for n = 3, 4, 6, 7, 12, 14, 30, 32, 33, 38, 94, 166, 324, … (sequence A002982 in OEIS)
- n! + 1 is prime for n = 0, 1, 2, 3, 11, 27, 37, 41, 73, 77, 116, 154, 320, … (sequence A002981 in OEIS)
The largest known primorial prime is Π(392113) + 1, found by Heuer in 2001. The largest known factorial prime is 34790! − 1, found by Marchal, Carmody and Kuosa in 2002. It is not known whether there are infinitely many primorial or factorial primes.
Primes of the form 2p − 1, where p is a prime number, are known as Mersenne primes, while primes of the form
are known as Fermat primes. Prime numbers p where 2p + 1 is also prime are known as Sophie Germain primes. The following list is of other special types of prime numbers that come from formulas:
- Wieferich primes,
- Wilson primes,
- Wall-Sun-Sun primes,
- Wolstenholme primes,
- Unique primes,
- Newman-Shanks-Williams primes (NSW primes),
- Smarandache-Wellin primes,
- Wagstaff primes, and
- Supersingular primes.
Some primes are classified according to the properties of their digits in decimal or other bases. For example, numbers whose digits form a palindromic sequence are called palindromic primes, and a prime number is called a truncatable prime if successively removing the first digit at the left or the right yields only new prime numbers.
- For a list of special classes of prime numbers see List of prime numbers
The distribution of the prime numbers
The problem of modelling the distribution of prime numbers is a popular subject of investigation for number theorists. The prime numbers are distributed among the natural numbers in a (so far) unpredictable way, but there do appear to be laws governing their behaviour. Leonhard Euler commented
- Mathematicians have tried in vain to this day to discover some order in the sequence of prime numbers, and we have reason to believe that it is a mystery into which the mind will never penetrate. (Havil 2003, p. 163)
Paul Erdős said
- God may not play dice with the universe, but something strange is going on with the prime numbers. [Referring to Albert Einstein's famous belief that "God does not play dice with the universe."]
In a 1975 lecture, Don Zagier commented
There are two facts about the distribution of prime numbers of which I hope to convince you so overwhelmingly that they will be permanently engraved in your hearts. The first is that, despite their simple definition and role as the building blocks of the natural numbers, the prime numbers grow like weeds among the natural numbers, seeming to obey no other law than that of chance, and nobody can predict where the next one will sprout. The second fact is even more astonishing, for it states just the opposite: that the prime numbers exhibit stunning regularity, that there are laws governing their behaviour, and that they obey these laws with almost military precision.
(Havil 2003, p. 171)
Additional image with 2310 columns is linked here, preserving multiples of 2,3,5,7,11 in respective columns.
Gaps between primes
Let pn denote the nth prime number (i.e. p1 = 2, p2 = 3, etc.). The gap gn between the consecutive primes pn and pn + 1 is the difference between them, i.e.
- gn = pn + 1 − pn.
We have g1 = 3 − 2 = 1, g2 = 5 − 3 = 2, g3 = 7 − 5 = 2, g4 = 11 − 7 = 4, and so on. The sequence (gn) of prime gaps has been extensively studied.
For any natural number N larger than 1, the sequence (for the notation N! read factorial)
- N! + 2, N! + 3, …, N! + N
is a sequence of N − 1 consecutive composite integers. Therefore, there exist gaps between primes which are arbitrarily large, i.e. for any natural number N, there is an integer n with gn > N. (Choose n so that pn is the greatest prime number less than N! + 2.)
On the other hand, the gaps get arbitrarily small in proportion to the primes: the quotient gn/pn approaches zero as n approaches infinity. Note also that the twin prime conjecture asserts that gn = 2 for infinitely many integers n.
Location of the largest known prime
The largest known prime, as of August 2007, is 232,582,657 − 1 (this number is 9,808,358 digits long); it is the 44th known Mersenne prime. M32582657 was found on September 4, 2006 by Curtis Cooper and Steven Boone, professors at the University of Central Missouri (formerly Central Missouri State University) and members of a collaborative effort known as GIMPS. Before finding the prime, Cooper and Boone ran the GIMPS software on a peak of 700 university computers for 9 years.
The next two largest known primes are also Mersenne Primes: M30,402,457 = 230,402,457 − 1 (43rd known Mersenne prime, 9,152,052 digits long) and M25,964,951 = 225,964,951 − 1 (42nd known Mersenne prime, 7,816,230 digits long). Historically, the largest known prime has almost always been a Mersenne prime since the dawn of electronic computers, because there exists a particularly fast primality test for numbers of this form, the Lucas–Lehmer test for Mersenne numbers.
The largest known prime that is not a Mersenne prime is 19,249 × 213,018,586 + 1 (3,918,990 digits), a Proth number. This is also the seventh largest known prime of any form. It was found on March 26, 2007 by the Seventeen or Bust project and it brings them one step closer to solving the Sierpinski problem.
Some of the largest primes not known to have any particular form (that is, no simple formula such as that of Mersenne primes) have been found by taking a piece of semi-random binary data, converting it to a number n, multiplying it by 256k for some positive integer k, and searching for possible primes within the interval [256kn + 1, 256k(n + 1) − 1].
Awards for finding primes
The Electronic Frontier Foundation (EFF) has offered a US$100,000 prize to the first discoverers of a prime with at least 10 million digits. They also offer $150,000 for 100 million digits, and $250,000 for 1 billion digits. In 2000 they paid out $50,000 for 1 million digits.
The RSA Factoring Challenge offered prizes up to US$200,000 for finding the prime factors of certain semiprimes of up to 2048 bits. However, the challenge was closed in 2007 after much smaller prizes for smaller semiprimes had been paid out.
Generalizations of the prime concept
The concept of prime number is so important that it has been generalized in different ways in various branches of mathematics.
Prime elements in rings
One can define prime elements and irreducible elements in any integral domain. For any unique factorization domain, such as the ring Z of integers, the set of prime elements equals the set of irreducible elements, which for Z is {…, −11, −7, −5, −3, −2, 2, 3, 5, 7, 11, …}.
As an example, we consider the Gaussian integers Z[i], that is, complex numbers of the form a + bi with a and b in Z. This is an integral domain, and its prime elements are the Gaussian primes. Note that 2 is not a Gaussian prime, because it factors into the product of the two Gaussian primes (1 + i) and (1 − i). The element 3, however, remains prime in the Gaussian integers. In general, rational primes (i.e. prime elements in the ring Z of integers) of the form 4k + 3 are Gaussian primes, whereas rational primes of the form 4k + 1 are not.
Prime ideals
In ring theory, one generally replaces the notion of number with that of ideal. Prime ideals are an important tool and object of study in commutative algebra, algebraic number theory and algebraic geometry. The prime ideals of the ring of integers are the ideals (0), (2), (3), (5), (7), (11), …
A central problem in algebraic number theory is how a prime ideal factors when it is lifted to an extension field. For example, in the Gaussian integer example above, (2) ramifies into a prime power (1 + i and 1 − i generate the same prime ideal), prime ideals of the form (4k + 3) are inert (remain prime), and prime ideals of the form (4k + 1) split (are the product of 2 distinct prime ideals).
Primes in valuation theory
In class field theory yet another generalization is used. Given an arbitrary field K, one considers valuations on K, certain functions from K to the real numbers R. Every such valuation yields a topology on K, and two valuations are called equivalent if they yield the same topology. A prime of K (sometimes called a place of K) is an equivalence class of valuations. With this definition, the primes of the field Q of rational numbers are represented by the standard absolute value function (known as the "infinite prime") as well as by the p-adic valuations on Q, for every prime number p.
Prime knots
In knot theory, a prime knot is a knot which is, in a certain sense, indecomposable. Specifically, it is one which cannot be written as the knot sum of two nontrivial knots.
Open questions
There are many open questions about prime numbers. A very significant one is the Riemann hypothesis, which essentially says that the primes are as regularly distributed as possible. From a physical viewpoint, it roughly states that the irregularity in the distribution of primes only comes from random noise. From a mathematical viewpoint, it roughly states that the asymptotic distribution of primes (about 1/ log x of numbers less than x are primes, the prime number theorem) also holds for much shorter intervals of length about the square root of x (for intervals near x). This hypothesis is generally believed to be correct, in particular, the simplest assumption is that primes should have no significant irregularities without good reason.
Many famous conjectures appear to have a very high probability of being true (in a formal sense, many of them follow from simple heuristic probabilistic arguments):
- Prime Euclid numbers: It is not known whether or not there are an infinite number of prime Euclid numbers.
- Strong Goldbach conjecture: Every even integer greater than 2 can be written as a sum of two primes.
- Weak Goldbach conjecture: Every odd integer greater than 5 can be written as a sum of three primes.
- Twin prime conjecture: There are infinitely many twin primes, pairs of primes with difference 2.
- Polignac's conjecture: For every positive integer n, there are infinitely many pairs of consecutive primes which differ by 2n. When n = 1 this is the twin prime conjecture.
- A weaker form of Polignac's conjecture: Every even number is the difference of two primes.
- It is widely believed there are infinitely many Mersenne primes, but not Fermat primes.
- It is conjectured there are infinitely many primes of the form n2 + 1.
- Many well-known conjectures are special cases of the broad Schinzel's hypothesis H.
- It is conjectured that there are infinitely many Fibonacci primes.
- Legendre's conjecture: There is a prime number between n2 and (n + 1)2 for every positive integer n.
- Cramér's conjecture:
. This conjecture implies Legendre's, but its status is more unsure.
- Brocard's conjecture: There are always at least four primes between the squares of consecutive primes greater than 2.
All four of Landau's problems from 1912 are listed above and still unsolved: Goldbach, twin primes, Legendre, n2+1 primes.
Applications
For a long time, number theory in general, and the study of prime numbers in particular, was seen as the canonical example of pure mathematics, with no applications outside of the self-interest of studying the topic. In particular, number theorists such as British mathematician G. H. Hardy prided themselves on doing work that had absolutely no military significance. However, this vision was shattered in the 1970s, when it was publicly announced that prime numbers could be used as the basis for the creation of public key cryptography algorithms. Prime numbers are also used for hash tables and pseudorandom number generators.
Some rotor machines were designed with a different number of pins on each rotor, with the number of pins on any one rotor either prime, or coprime to the number of pins on any other rotor. This helped generate the full cycle of possible rotor positions before repeating any position.
Public-key cryptography
Several public-key cryptography algorithms, such as RSA, are based on large prime numbers (for example with 512 bits).
Prime numbers in nature
Many numbers occur in nature, and inevitably some of these are prime. There are, however, relatively few examples of numbers that appear in nature because they are prime. For example, most starfish have 5 arms, and 5 is a prime number. However there is no evidence to suggest that starfish have 5 arms because 5 is a prime number. Indeed, some starfish have different numbers of arms. Echinaster luzonicus normally has six arms, Luidia senegalensis has nine arms, and Solaster endeca can have as many as twenty arms. Why the majority of starfish (and most other echinoderms) have five-fold symmetry remains a mystery.
One example of the use of prime numbers in nature is as an evolutionary strategy used by cicadas of the genus Magicicada. These insects spend most of their lives as grubs underground. They only pupate and then emerge from their burrows after 13 or 17 years, at which point they fly about, breed, and then die after a few weeks at most. The logic for this is believed to be that the prime number intervals between emergences makes it very difficult for predators to evolve that could specialise as predators on Magicicadas. If Magicicadas appeared at a non-prime number intervals, say every 12 years, then predators appearing every 2, 3, 4, 6, or 12 years would be sure to meet them. Over a 200-year period, average predator populations during hypothetical outbreaks of 14- and 15-year cicadas would be up to 2% higher than during outbreaks of 13- and 17-year cicadas. Though small, this advantage appears to have been enough to drive natural selection in favour of a prime-numbered life-cycle for these insects.
There is speculation that the zeros of the zeta function are connected to the energy levels of complex quantum systems.
Prime numbers in the arts and literature
Prime numbers have influenced many artists and writers. The French composer Olivier Messiaen used prime numbers to create ametrical music through "natural phenomena". In works such as La Nativité du Seigneur (1935) and Quatre études de rythme (1949-50), he simultaneously employs motifs with lengths given by different prime numbers to create unpredictable rhythms: the primes 41, 43, 47 and 53 appear in one of the études. According to Messiaen this way of composing was "inspired by the movements of nature, movements of free and unequal durations".
In his science fiction novel Contact, later made into a film of the same name, the NASA scientist Carl Sagan suggested that prime numbers could be used as a means of communicating with aliens, an idea that he had first developed informally with American astronomer Frank Drake in 1975.
Tom Stoppard's award-winning 1993 play Arcadia was a conscious attempt to discuss mathematical ideas on the stage. In the opening scene, the 13 year old heroine puzzles over Fermat's last theorem, a theorem involving prime numbers.
Many films reflect a popular fascination with the mysteries of prime numbers and cryptography: films such as The Cube, Sneakers, The Mirror Has Two Faces and A Beautiful Mind, based on the biography of the mathematician and Nobel laureate John Forbes Nash by Sylvia Nasar.





