Standard deviation
2008/9 Schools Wikipedia Selection. Related subjects: Mathematics
In probability and statistics, the standard deviation of a probability distribution, random variable, or population or multiset of values is a measure of the spread of its values. The standard deviation is usually denoted with the letter σ (lower case sigma). It is defined as the square root of the variance.
To understand standard deviation, keep in mind that variance is the average of the squared differences between data points and the mean. Variance is tabulated in units squared. Standard deviation, being the square root of that quantity, therefore measures the spread of data about the mean, measured in the same units as the data.
Stated more formally, the standard deviation is the root mean square (RMS) deviation of values from their arithmetic mean.
For example, in the population {4, 8}, the mean is 6 and the deviations from mean are {−2, 2}. Those deviations squared are {4, 4} the average of which (the variance) is 4. Therefore, the standard deviation is 2. In this case 100% of the values in the population are at one standard deviation of the mean.
The standard deviation is the most common measure of statistical dispersion, measuring how widely spread the values in a data set are. If many data points are close to the mean, then the standard deviation is small; if many data points are far from the mean, then the standard deviation is large. If all the data values are equal, then the standard deviation is zero.
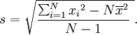
For a population, the standard deviation can be estimated by a modified standard deviation (s) of a sample. The formulas are given below.
Definition and calculation
A simple example
Suppose we wished to find the standard deviation of the set of the numbers 4 and 8.
Step 1: find the arithmetic mean (or average) of 4 and 8,
- (4 + 8) / 2 = 6.
Step 2: find the deviation of each number from the mean,
- 4 − 6 = − 2
- 8 − 6 = 2.
Step 3: square each of the deviations (amplifying larger deviations and making negative values positive),
- ( − 2)2 = 4
- 22 = 4.
Step 4: sum the obtained squares (as a first step to obtaining an average),
- 4 + 4 = 8.
Step 5: divide the sum by the number of values, which here is 2 (giving an average),
- 8 / 2 = 4.
Step 6: take the non-negative square root of the quotient (converting squared units back to regular units),
So, the standard deviation is 2.
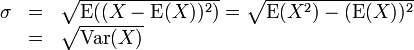
Standard deviation of a random variable
The standard deviation of a random variable X is defined as:
where E(X) is the expected value of X, and Var(X) is the Variance of X.
Not all random variables have a standard deviation, since these expected values need not exist. For example, the standard deviation of a random variable which follows a Cauchy distribution is undefined because its E(X) is undefined.
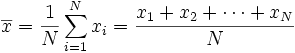
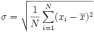
If the random variable X takes on the values
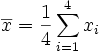
(which are real numbers) with equal probability, then its standard deviation can be computed as follows. First, the mean of X,
, is defined as a summation:
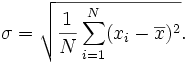
where N is the number of samples taken. Next, the standard deviation simplifies to
In other words, the standard deviation of a discrete uniform random variable X can be calculated as follows:
- For each value xi calculate the difference
between xi and the average value
. - Calculate the squares of these differences.
- Find the average of the squared differences. This quantity is the variance σ2.
- Take the square root of the variance.
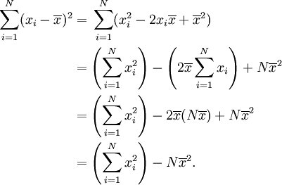
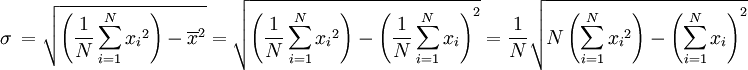
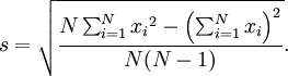
The above expression can also be replaced with
Equality of these two expressions can be shown by a bit of algebra:
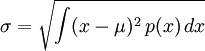
Standard deviation of a continuous random variable
Continuous distributions usually give a formula for calculating the standard deviation as a function of the parameters of the distribution. In general, the standard deviation of a continuous random variable X with probability density function p(x) is
Where
Example
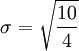
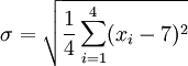
We will show how to calculate the standard deviation of a population. Our example will use the ages of four young children: { 5, 6, 8, 9 }.
Step 1. Calculate the mean average,
:
We have N = 4 because there are four data points:
Substitute N=4
Step 2. Calculate the standard deviation,
. (Since the four values represent the entire population, we do not use the formula for estimated standard deviation in this case):
Substitute
=7 and N=4
So the standard deviation of the ages of the four children is the square root of 2.5, or approximately 1.58.
Were this set a sample drawn from a larger population of children, and the question at hand was an estimate of the standard deviation of the population, convention would replace the denominator N (or 4) in step 2 here with N−1 (or 3).
Interpretation and application
A large standard deviation indicates that the data points are far from the mean and a small standard deviation indicates that they are clustered closely around the mean.
For example, each of the three data sets {0, 0, 14, 14}, {0, 6, 8, 14} and {6, 6, 8, 8} has a mean of 7. Their standard deviations are 7, 5, and 1, respectively. The third set has a much smaller standard deviation than the other two because its values are all close to 7. In a loose sense, the standard deviation tells us how far from the mean the data points tend to be. It will have the same units as the data points themselves. If, for instance, the data set {0, 6, 8, 14} represents the ages of four siblings in years, the standard deviation is 5 years.
As another example, the data set {1000, 1006, 1008, 1014} may represent the distances traveled by four athletes, measured in meters. It has a mean of 1007 meters, and a standard deviation of 5 meters.
Standard deviation may serve as a measure of uncertainty. In physical science for example, the reported standard deviation of a group of repeated measurements should give the precision of those measurements. When deciding whether measurements agree with a theoretical prediction, the standard deviation of those measurements is of crucial importance: if the mean of the measurements is too far away from the prediction (with the distance measured in standard deviations), then the theory being tested probably needs to be revised. This makes sense since they fall outside the range of values that could reasonably be expected to occur if the prediction were correct and the standard deviation appropriately quantified. See prediction interval.
Real-life examples
The practical value of understanding the standard deviation of a set of values is in appreciating how much variation there is from the "average" (mean).
Weather
As a simple example, consider average temperatures for cities. While two cities may each have an average temperature of 60 °F, it's helpful to understand that the range for cities near the coast is smaller than for cities inland, which clarifies that, while the average is similar, the chance for variation is greater inland than near the coast.
So, an average of 60 occurs for one city with highs of 80 °F and lows of 40 °F, and also occurs for another city with highs of 65 and lows of 55. The standard deviation allows us to recognize that the average for the city with the wider variation, and thus a higher standard deviation, will not offer as reliable a prediction of temperature as the city with the smaller variation and lower standard deviation.
Sports
Another way of seeing it is to consider sports teams. In any set of categories, there will be teams that rate highly at some things and poorly at others. Chances are, the teams that lead in the standings will not show such disparity, but will be pretty good in most categories. The lower the standard deviation of their ratings in each category, the more balanced and consistent they might be. So, a team that is consistently bad in most categories will have a low standard deviation. A team that is consistently good in most categories will also have a low standard deviation. A team with a high standard deviation might be the type of team that scores a lot (strong offense) but also concedes a lot (weak defense), or, vice versa, that might have a poor offense but compensates by being difficult to score on—teams with a higher standard deviation will be more unpredictable.
Trying to predict which teams, on any given day, will win, may include looking at the standard deviations of the various team "stats" ratings, in which anomalies can match strengths vs. weaknesses to attempt to understand what factors may prevail as stronger indicators of eventual scoring outcomes.
In racing, a driver is timed on successive laps. A driver with a low standard deviation of lap times is more consistent than a driver with a higher standard deviation. This information can be used to help understand where opportunities might be found to reduce lap times.
Finance
In finance, standard deviation is a representation of the risk associated with a given security (stocks, bonds, property, etc.), or the risk of a portfolio of securities. Risk is an important factor in determining how to efficiently manage a portfolio of investments because it determines the variation in returns on the asset and/or portfolio and gives investors a mathematical basis for investment decisions. The overall concept of risk is that as it increases, the expected return on the asset will increase as a result of the risk premium earned – in other words, investors should expect a higher return on an investment when said investment carries a higher level of risk.
For example, you have a choice between two stocks: Stock A historically returns 5% with a standard deviation of 10%, while Stock B returns 6% and carries a standard deviation of 20%. On the basis of risk and return, an investor may decide that Stock A is the better choice, because Stock B's additional percentage point of return generated (an additional 20% in dollar terms) is not worth double the degree of risk associated with Stock A. Stock B is likely to fall short of the initial investment more often than Stock A under the same circumstances, and will return only one percentage point more on average. In this example, Stock A has the potential to earn 10% more than the expected return, but is equally likely to earn 10% less than the expected return.
Calculating the average return (or arithmetic mean) of a security over a given number of periods will generate an expected return on the asset. For each period, subtracting the expected return from the actual return results in the variance. Square the variance in each period to find the effect of the result on the overall risk of the asset. The larger the variance in a period, the greater risk the security carries. Taking the average of the squared variances results in the measurement of overall units of risk associated with the asset. Finding the square root of this variance will result in the standard deviation of the investment tool in question. Use this measurement, combined with the average return on the security, as a basis for comparing securities.
Geometric interpretation
To gain some geometric insights, we will start with a population of three values, x1, x2, x3. This defines a point P = (x1, x2, x3) in R3. Consider the line L = {(r, r, r) : r in R}. This is the "main diagonal" going through the origin. If our three given values were all equal, then the standard deviation would be zero and P would lie on L. So it is not unreasonable to assume that the standard deviation is related to the distance of P to L. And that is indeed the case. Moving orthogonally from P to the line L, one hits the point:
whose coordinates are the mean of the values we started out with. A little algebra shows that the distance between P and R (which is the same as the distance between P and the line L) is given by σ√3. An analogous formula (with 3 replaced by N) is also valid for a population of N values; we then have to work in RN.
Rules for normally distributed data

In practice, one often assumes that the data are from an approximately normally distributed population. This is frequently justified by the classical central limit theorem, which says that sums of many independent, identically distributed random variables tend towards the normal distribution as a limit. If that assumption is justified, then about 68 % of the values are within 1 standard deviation of the mean, about 95 % of the values are within two standard deviations and about 99.7 % lie within 3 standard deviations. This is known as the 68-95-99.7 rule, or the empirical rule.
The confidence intervals are as follows:
| σ | 68.26894921371% |
| 2σ | 95.44997361036% |
| 3σ | 99.73002039367% |
| 4σ | 99.99366575163% |
| 5σ | 99.99994266969% |
| 6σ | 99.99999980268% |
| 7σ | 99.99999999974% |
For normal distributions, the two points of the curve which are one standard deviation from the mean are also the inflection points.
Chebyshev's inequality
Chebyshev's inequality proves that in any data set, nearly all of the values will be nearer to the mean value, where the meaning of "close to" is specified by the standard deviation. Chebyshev's inequality entails that for (nearly) all random distributions, not just normal ones, we have the following weaker bounds:
- At least 50% of the values are within √2 standard deviations from the mean.
- At least 75% of the values are within 2 standard deviations from the mean.
- At least 89% of the values are within 3 standard deviations from the mean.
- At least 94% of the values are within 4 standard deviations from the mean.
- At least 96% of the values are within 5 standard deviations from the mean.
- At least 97% of the values are within 6 standard deviations from the mean.
- At least 98% of the values are within 7 standard deviations from the mean.
- At least 75% of the values are within 2 standard deviations from the mean.
And in general:
- At least (1 − 1/k2) × 100% of the values are within k standard deviations from the mean.
Relationship between standard deviation and mean
The mean and the standard deviation of a set of data are usually reported together. In a certain sense, the standard deviation is a "natural" measure of statistical dispersion if the centre of the data is measured about the mean. This is because the standard deviation from the mean is smaller than from any other point. The precise statement is the following: suppose x1, ..., xn are real numbers and define the function:
Using calculus, or simply by completing the square, it is possible to show that σ(r) has a unique minimum at the mean:
(This can also be done with fairly simple algebra alone, since σ2(r) is equated to a quadratic polynomial).
The coefficient of variation of a sample is the ratio of the standard deviation to the mean. It is a dimensionless number that can be used to compare the amount of variance between populations with different means.
Rapid calculation methods
A slightly faster (significantly for running standard deviation) way to compute the population standard deviation is given by the following formula (though considerations must be made for round-off error, arithmetic overflow, and arithmetic underflow conditions):
or
where the power sums s0, s1, s2 are defined by
Similarly for sample standard deviation:
Or from running sums:















![\sigma = \sqrt{\frac{1}{4} \left [ (x_1 - 7)^2 + (x_2 - 7)^2 + (x_3 - 7)^2 + (x_4 - 7)^2 \right ] }](../../images/230/23073.png)
![\sigma = \sqrt{\frac{1}{4} \left [ (5 - 7)^2 + (6 - 7)^2 + (8 - 7)^2 + (9 - 7)^2 \right ] }](../../images/230/23074.png)











