Image:CuCl Sandmeyer.gif
From Wikipedia, the free encyclopedia

No higher resolution available.
CuCl_Sandmeyer.gif (637 × 131 pixels, file size: 17 KB, MIME type: image/gif)
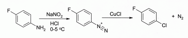
An example of a Sandmeyer reaction using cuprous chloride
![]() |
This work has been (or is hereby) released into the public domain by the copyright holder. This applies worldwide. However, as a courtesy, a link back to Wikipedia ( http://www.wikipedia.org/) would be appreciated. In case this is not legally possible: |
File history
Click on a date/time to view the file as it appeared at that time.
| Date/Time | Dimensions | User | Comment | |
|---|---|---|---|---|
| current | 21:17, 27 January 2005 | 637×131 (17 KB) | Walkerma ( Talk | contribs) | (An example of a Sandmeyer reaction using cuprous chloride) |
See the setup instructions for more information.
File links
The following file is a duplicate of this file:
The following pages on Schools Wikipedia link to this image (list may be incomplete):
Categories: Public domain images
