Analytic geometry
2008/9 Schools Wikipedia Selection. Related subjects: Mathematics
Analytic geometry, also called coordinate geometry and earlier referred to as Cartesian geometry or analytical geometry, is the study of geometry using the principles of algebra. That the algebra of the real numbers can be employed to yield results about the linear continuum of geometry relies on the Cantor-Dedekind axiom. Usually the Cartesian coordinate system is applied to manipulate equations for planes, lines, straight lines, and squares, often in two and sometimes in three dimensions of measurement. As taught in school books, analytic geometry can be explained more simply: it is concerned with defining geometrical shapes in a numerical way and extracting numerical information from that representation. The numerical output, however, might also be a vector or a shape. Some consider that the introduction of analytic geometry was the beginning of modern mathematics.
History
The Greek mathematician Menaechmus solved problems and proved theorems by using a method that had a strong resemblance to the use of coordinates and it has sometimes been maintained that he had analytic geometry. Apollonius of Perga, in On Determinate Section dealt with problems in a manner that may be called an analytic geometry of one dimension; with the question of finding points on a line that were in a ratio to the others. Apollonius in the Conics further developed a method that is so similar to analytic geometry that his work is sometimes thought to have anticipated the work of Descartes by some 1800 years. His application of reference lines, a diameter and a tangent is essentially no different than our modern use of a coordinate frame, where the distances measured along the diameter from the point of tangency are the abscissas, and the segments parallel to the tangent and intercepted between the axis and the curve are the ordinates. He further developed relations between the abscissas and the corresponding ordinates that are equivalent to rhetorical equations of curves. However, although Apollonius came close to developing analytic geometry, he did not manage to do so since he did not take into account negative magnitudes and in every case the coordinate system was superimposed upon a given curve a posteriori instead of a priori. That is, equations were determined by curves, but curves were not determined by equations. Coordinates, variables, and equations were subsidiary notions applied to a specific geometric situation.
The eleventh century Persian mathematician Omar Khayyám saw a strong relationship between geometry and algebra, and was moving in the right direction when he helped to close the gap between numerical and geometric algebra with his geometric solution of the general cubic equations, but the decisive step came later with Descartes.
Analytic geometry has traditionally been attributed to René Descartes who made significant progress with the methods of analytic geometry when in 1637 in the appendix entitled Geometry of the titled Discourse on the Method of Rightly Conducting the Reason in the Search for Truth in the Sciences, commonly referred to as Discourse on Method. This work, written in his native French tongue, and its philosophical principles, provided the foundation for calculus in Europe.
Abraham de Moivre also pioneered the development of analytic geometry. With the assumption of the Cantor-Dedekind axiom, essentially that Euclidean geometry is interpretable in the language of analytic geometry (that is, every theorem of one is a theorem of the other), Alfred Tarski's proof of the decidability of the ordered real field could be seen as a proof that Euclidean geometry is consistent and decidable.
Themes
Important themes of analytical geometry are
- vector space
- definition of the plane
- distance problems
- the dot product, to get the angle of two vectors
- the cross product, to get a perpendicular vector of two known vectors (and also their spatial volume)
- intersection problems
Many of these problems involve linear algebra.
Example
Here an example of a problem from the United States of America Mathematical Talent Search that can be solved via analytic geometry:
Problem: In a convex pentagon ABCDE, the sides have lengths 1, 2, 3, 4, and 5, though not necessarily in that order. Let F, G, H, and I be the midpoints of the sides AB, BC, CD, and DE, respectively. Let X be the midpoint of segment FH, and Y be the midpoint of segment GI. The length of segment XY is an integer. Find all possible values for the length of side AE.
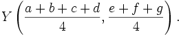
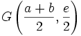
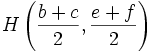
Solution: Let A, B, C, D, and E be located at A(0,0), B(a,0), C(b,e), D(c,f), and E(d,g).
Using the midpoint formula, the points F, G, H, I, X, and Y are located at
,
,
,
,
, and 
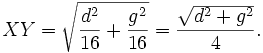
Using the distance formula,
and
Since XY has to be an integer,
(see modular arithmetic) so AE = 4.
Other uses
Analytic geometry, for algebraic geometers, is also the name for the theory of (real or) complex manifolds and the more general analytic spaces defined locally by the vanishing of analytic functions of several complex variables (or sometimes real ones). It is closely linked to algebraic geometry, especially through the work of Jean-Pierre Serre in GAGA.



