Cosmic inflation
2008/9 Schools Wikipedia Selection. Related subjects: Space (Astronomy)
| Physical cosmology | ||||||||||||||
![]() |
||||||||||||||
| Universe · Big Bang Age of the universe Timeline of the Big Bang Ultimate fate of the universe
|
||||||||||||||
In physical cosmology, cosmic inflation is the idea that the nascent universe passed through a phase of exponential expansion that was driven by a negative-pressure vacuum energy density.
As a direct consequence of this expansion, all of the observable universe originated in a small causally-connected region. Inflation answers the classic conundrum of the big bang cosmology: why does the universe appear flat, homogeneous and isotropic in accordance with the cosmological principle when one would expect, on the basis of the physics of the big bang, a highly curved, inhomogeneous universe? Inflation also explains the origin of the large-scale structure of the cosmos. Quantum fluctuations in the microscopic inflationary region, magnified to cosmic size, become the seeds for the growth of structure in the universe (see galaxy formation and evolution and structure formation).
Inflation was proposed in January, 1980 by Alan Guth and was given its modern form independently by Andrei Linde, and by Andreas Albrecht and Paul Steinhardt.
While the detailed particle physics mechanism responsible for inflation is not known, the basic picture makes a number of predictions that have been confirmed by observational tests. Inflation is thus now considered part of the standard hot big bang cosmology. The hypothetical particle or field thought to be responsible for inflation is called the inflaton.
Overview
Inflation suggests that there was a period of exponential expansion in the very early universe. Because in a fast expanding universe, the distance to the cosmological horizon is constant, it is not clear whether such a universe should be called "small" or "large". If the philosophical definition of the universe is restricted to be the observable universe, an inflating universe is small, and only becomes large once inflation has ended and the cosmological horizon is free to expand. If the philosophical position is that the universe is mostly unobservable, then the unobservable portion is expanding exponentially.
Space expands
To say that space expands exponentially means that two inertial observers are drawn further apart with time. Expressed in comoving Cartesian coordinates the proper distance is:
where H is the Hubble scale factor induced by the inflation. Inflation corresponds to the appearance of the e2Ht term in the above expression. It is traditional to use natural units, so that the speed of light c is 1.
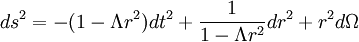
In stationary coordinates for one observer, a patch of an inflating universe has the following polar metric:
Which is just like an inside-out black hole metric--- it has a zero in the dt component on a fixed radius sphere called the cosmological horizon. Objects are drawn away from the observer at r=0 towards the cosmological horizon, leading them to fall in after a finite proper time. This means that any inhomogeneities are smoothed out, just as any bumps or matter on the surface of a black hole horizon are swallowed and disappear.
Since the space time metric has no explicit time dependence, once an observer has fallen onto the cosmological horizon, observers closer in take its place. This process of falling outward and replacement points closer in are always steadily replacing points further out--- an exponential expansion of space-time.
This steady-state exponentially expanding spacetime is called a de Sitter space, and to sustain it there must be a cosmological constant, a vaccuum energy proportional to Λ everywhere. The physical conditions from one moment to the next are stable: the rate of expansion, called the Hubble parameter, is nearly constant. Inflation is often called a period of accelerated expansion because the distance between two fixed observers is increasing at an accelerating rate as they move apart. (but Λ can stay approximately constant see deceleration parameter.)
Few inhomogeneities remain
Cosmic inflation has the important effect of smoothing out inhomogeneities, anisotropies and the curvature of space. This pushes the universe into a very simple state, in which it is completely dominated by the inflaton field, the source of the cosmological constant, and the only significant inhomogeneities are the tiny quantum fluctuations in the inflaton. Inflation also dilutes exotic heavy particles, such as the magnetic monopoles predicted by many extensions to the Standard Model of particle physics. If the universe was only hot enough to form such particles before a period of inflation, they would not be observed in nature, as they would be so rare that it is quite likely that there are none in the Observable universe. Together, these effects are called the inflationary "no-hair theorem" by analogy with the no hair theorem for black holes.
The "no-hair" theorem works essentially because the cosmological horizon is no different from a black-hole horizon except for philosophical disagreements about what is on the other side. In terms of the unobservable universe, the interpretation of the no-hair theorem is that the unobservable universe expands by an enormous factor during inflation. In an expanding universe, energy densities generally fall as the volume of the universe increases. For example, the density of ordinary "cold" matter (dust) goes as the inverse of the volume: when linear dimensions double, the energy density goes down by a factor of eight. The energy density in radiation goes down even more rapidly as the universe expands. When linear dimensions are doubled, the energy density in radiation falls by a factor of sixteen. During inflation, the energy density in the inflaton field is roughly constant. However, the energy density in inhomogeneities, curvature, anisotropies and exotic particles is falling, and through sufficient inflation these become negligible. This leaves an empty, flat, and symmetric universe, which is filled with radiation when inflation ends.
Key requirement
A key requirement is that inflation must continue long enough to produce the present observable universe from a single, small inflationary Hubble volume. This is necessary to ensure that the universe appears flat, homogeneous and isotropic at the largest observable scales. This requirement is generally thought to be satisfied if the universe expanded by a factor of at least 1026 during inflation.
Reheating
At the end of inflation, a process called reheating occurs, in which the inflaton particles decay into the radiation that starts the hot big bang. It is not known how long inflation lasted but it is usually thought to be extremely short compared to the age of the universe.
Motivation
Inflation resolves several problems in the Big Bang cosmology that were pointed out in the 1970s. These problems arise from the observation that to look like it does today, the universe would have to have started from very finely tuned, or "special" initial conditions at the Big Bang. Inflation attempts to resolve these problems by providing a dynamical mechanism that drives the universe to this special state, thus making a universe like ours much more likely in the context of the Big Bang theory.
Horizon problem
The horizon problem is the problem of determining why the universe appears statistically homogeneous and isotropic in accordance with the cosmological principle. For example, molecules in a canister of gas are distributed homogeneously and isotropically because they are in thermal equilibrium: gas throughout the canister has had enough time to interact to dissipate inhomogeneities and anisotropies. The situation is quite different in the big bang model without inflation, because gravitational expansion does not give the early universe enough time to equilibrate. In a big bang with only the matter and radiation known in the Standard Model, two widely separated regions of the observable universe cannot have equilibrated because they move apart from each other faster than the speed of light — thus have never come in to causal contact: in the history of the universe, back to the earliest times, it has not been possible to send a light signal between the two regions. Because they have no interaction, it is difficult to explain why they have the same temperature (are thermally equilibrated). This is because the Hubble radius in a radiation or matter-dominated universe expands much more quickly than physical lengths and so points that are out of communication are coming into communication. Historically, two proposed solutions were the Phoenix universe of Georges Lemaître and the related oscillatory universe of Richard Chase Tolman, and the Mixmaster universe of Charles Misner. Lemaître and Tolman proposed that a universe undergoing a number of cycles of contraction and expansion could come into thermal equilibrium. Their models failed, however, because of the buildup of entropy over several cycles. Misner made the (ultimately incorrect) conjecture that the Mixmaster mechanism, which made the universe more chaotic, could lead to statistical homogeneity and isotropy.
Flatness problem
Another problem is the flatness problem (which is sometimes called one of the Dicke coincidences, with the other being the cosmological constant problem). It had been known in the 1960s that the density of matter in the universe was comparable to the critical density necessary for a flat universe (that is, a universe whose large scale geometry is the usual Euclidean geometry, rather than a non-Euclidean hyperbolic or spherical geometry).
Therefore, regardless of the shape of the universe the contribution of spatial curvature to the expansion of the universe could not be much greater than the contribution of matter. But as the universe expands, the curvature redshifts away more slowly than matter and radiation. Extrapolated into the past, this presents a fine-tuning problem because the contribution of curvature to the universe must be exponentially small (sixteen orders of magnitude less than the density of radiation at big bang nucleosynthesis, for example). This problem is exacerbated by recent observations of the cosmic microwave background that have demonstrated that the universe is flat to the accuracy of a few percent.
Magnetic monopole problem
The magnetic monopole problem (sometimes called the exotic relics problem) is a problem that suggests that if the early universe were very hot, a large number of very heavy, stable magnetic monopoles would be produced. This was a problem with Grand Unified Theories, popular in the 1970s and 1980s, which proposed that at high temperatures (such as in the early universe) the electromagnetic force, strong and weak nuclear forces are not actually fundamental forces but arise due to spontaneous symmetry breaking from a much simpler gauge theory. These theories predict a number of heavy, stable particles which have not yet been observed in nature. The most notorious is the magnetic monopole, a kind of stable, heavy "knot" in the magnetic field. Monopoles are expected to be copiously produced in Grand Unified Theories at high temperature, and they should have persisted to the present day. To very high precision, magnetic monopoles have been shown not to exist in nature, whereas according to the big bang theory (without cosmic inflation) they should have been copiously produced in the hot, dense early universe and since become the primary constituent of the universe.
History
Precursors
In the early days of General Relativity, Albert Einstein introduced the cosmological constant to allow a static solution which was a three dimensional sphere with a uniform density of matter. A little later, Willem de Sitter found a highly symmetric inflating universe, which described a universe with a cosmological constant which is otherwise empty. Einstein's solution is unstable, and if there are small fluctuations, it eventually turns into de Sitter's.
In the early 1970's Zeldovich noticed the serious flatness and horizon problems of big bang cosmology, before his work, cosmology was presumed to be symmetrical on purely philosophical grounds. In the Soviet Union, this and other considerations led Balinski and Khalatnikov to formulate the mixmaster universe, an analysis of the chaos near a singularity in General Relativity. Starobinski formulated an early chaotic version of inflation in 1979, which was advanced by Vilenkin and Starobinski. While this was not as transparent a solution to the cosmological problems as Guth's, it remains a possibility.
In the late 1970's, Sidney Coleman applied the instanton techniques developed by Alexander Polyakov and collaborators to study the fate of the false vacuum in quantum field theory. Like a metastable phase in statistical mechanics--- water below the freezing temperature or above the boiling point--- a quantum field would need to nucleate a large enough bubble of the new vacuum, the new phase, in order to make a transition. Coleman found the most likely decay pathway for vacuum decay and calculated the inverse lifetime per unit volume. He eventually noted that gravitational effects would be significant, but he did not calculate these effects and did not apply the results to cosmology.
In 1978, Zeldovich noted the monopole problem, which was an unambiguous quantitative version of the horizon problem, this time in a fashionable subfield of particle physics, which led to several speculative attempts to resolve it. In 1980, working in the west, Alan Guth realized that false vacuum decay in the early universe would solve the problem.
Guth, Starobinsky and others
Inflation was proposed in January, 1980 by Alan Guth as a mechanism for resolving these problems. Contemporary with Guth, Alexei Starobinsky argued that quantum corrections to gravity would replace the initial singularity of the universe with an exponentially expanding state. Demosthenes Kazanas anticipated part of Guth's work by suggesting that exponential expansion could eliminate the particle horizon and perhaps solve the horizon problem, and Sato suggesting that an exponential expansion could eliminate domain walls (another kind of exotic relic).
Guth
Guth was the first to assemble a complete picture of how all these initial conditions problems could be solved by an exponentially expanding state.

Guth proposed that as the early universe cooled, it was trapped in a false vacuum with a high energy density, which is much like a cosmological constant. As the very early universe cooled it was trapped in a metastable state (it was supercooled) which it could only decay out of through the process of bubble nucleation via quantum tunneling. Bubbles of true vacuum spontaneously form in the sea of false vacuum and rapidly begin expanding at the speed of light. Guth recognized that this model was problematic because the model did not reheat properly: when the bubbles nucleated, they did not generate any radiation. Radiation could only be generated in collisions between bubble walls. But if inflation lasted long enough to solve the initial conditions problems, collisions between bubbles became exceedingly rare. In any one causal patch, it is likely that only one bubble will nucleate.
Linde, Albrecht and Steinhardt
The bubble collision problem was solved by Andrei Linde and independently by Andreas Albrecht and Paul Steinhardt in a model named new inflation or slow-roll inflation (Guth's model then became known as old inflation). In this model, instead of tunneling out of a false vacuum state, inflation occurred by a scalar field rolling down a potential energy hill. When the field rolls very slowly compared to the expansion of the universe, inflation occurs. However, when the hill becomes steeper, inflation ends and reheating can occur.
Effects of asymmetries
Eventually, it was shown that new inflation does not produce a perfectly symmetric universe, but that tiny quantum fluctuations in the inflaton are created. These tiny fluctuations form the primordial seeds for all structure created in the later universe. These fluctuations were first calculated by Viatcheslav Mukhanov and G. V. Chibisov in the Soviet Union in analyzing Starobinsky's similar model. In the context of inflation, they were worked out independently of the work of Mukhanov and Chibisov at the three-week 1982 Nuffield Workshop on the Very Early Universe at Cambridge University. The fluctuations were calculated by four groups working separately over the course of the workshop: Stephen Hawking; Starobinsky; Guth and So-Young Pi; and James M. Bardeen, Paul Steinhardt and Michael Turner.
Observational status
Inflation is a concrete mechanism for realizing the cosmological principle which is the basis of the standard model of physical cosmology: it accounts for the homogeneity and isotropy of the observable universe. In addition, it accounts for the observed flatness and absence of magnetic monopoles. Since Guth's early work, each of these observations has received further confirmation, most impressively by the detailed observations of the cosmic microwave background made by the Wilkinson Microwave Anisotropy Probe (WMAP) satellite. This analysis shows that the universe is flat to an accuracy of at least a few percent, and that it is homogeneous and isotropic to a part in 10,000.
In addition, inflation predicts that the structures visible in the universe today formed through the gravitational collapse of perturbations which were formed as quantum mechanical fluctuations in the inflationary epoch. The detailed form of the spectrum of perturbations called a nearly-scale-invariant Gaussian random field (or Harrison-Zel'dovich spectrum) is very specific and has only two free parameters, the amplitude of the spectrum and the spectral index which measures the slight deviation from scale invariance predicted by inflation (perfect scale invariance corresponds to the idealized de Sitter universe). Inflation predicts that the observed perturbations should be in thermal equilibrium with each other (these are called adiabatic or isentropic perturbations). This structure for the perturbations has been confirmed by the WMAP satellite and other cosmic microwave background experiments, and galaxy surveys, especially the ongoing Sloan Digital Sky Survey. These experiments have shown that the one part in 10,000 inhomogeneities observed have exactly the form predicted by theory. Moreover, the slight deviation from scale invariance has been measured. The spectral index, ns is equal to one for a scale-invariant spectrum. The simplest models of inflation predict that this quantity is between 0.92 and 0.98. The WMAP satellite has measured ns = 0.960 ± 0.014 and shown that it is different from one at the level of two standard deviations (2σ). This is considered an important confirmation of the theory of inflation.
A number of theories of inflation have been proposed that make radically different predictions, but they generally have much more fine tuning than is necessary. As a physical model, however, inflation is most valuable in that it robustly predicts the initial conditions of the universe based on only two adjustable parameters: the spectral index (that can only change in a small range) and the amplitude of the perturbations. Except in contrived models, this is true regardless of how inflation is realized in particle physics.
Occasionally, effects are observed that appear to contradict the simplest models of inflation. The first-year WMAP data suggested that the spectrum might not be nearly scale-invariant, but might instead have a slight curvature. However, the third-year data revealed that the effect was a statistical anomaly. Another effect has been remarked upon since the first cosmic microwave background satellite, the Cosmic Background Explorer: the amplitude of the quadrupole moment of the cosmic microwave background is unexpectedly low and the other low multipoles appear to be preferentially aligned with the ecliptic plane. Some have claimed that this is a signature of non-Gaussianity and thus contradicts the simplest models of inflation. Others have suggested that the effect may be due to other new physics, foreground contamination, or even publication bias.
An experimental program is underway to further test inflation with more precise measurements of the cosmic microwave background. In particular, high precision measurements of the so-called "B-modes" of the polarization of the background radiation will be evidence of the gravitational radiation produced by inflation, and they will also show whether the energy scale of inflation predicted by the simplest models (1015–1016 GeV) is correct. These measurements are expected to be performed by the Planck satellite, although it is unclear if the signal will be visible, or if contamination from foreground sources will interfere with these measurements. Other forthcoming measurements, such as those of 21 centimeter radiation (radiation emitted and absorbed from neutral hydrogen before the first stars turned on), may measure the power spectrum with even greater resolution than the cosmic microwave background and galaxy surveys, although it is not known if these measurements will be possible or if interference with radio sources on earth and in the galaxy will be too great.
As of 2006, it is unclear what relationship if any the period of cosmic inflation has to do with dark energy. Dark energy is broadly similar to inflation, and is thought to be causing the expansion of the present-day universe to accelerate. However, the energy scale of dark energy is much lower, 10-12 GeV, roughly 27 orders of magnitude less than the scale of inflation.
Theoretical status
In the early proposal of Guth, it was thought that the inflaton was the Higgs field, the field which explains the mass of the elementary particles. It is now known that the inflaton cannot be the Higgs field. Other models of inflation relied on the properties of grand unified theories. Since the simplest models of grand unification have failed, it is now thought by many physicists that inflation will be included in a supersymmetric theory like string theory or a supersymmetric grand unified theory. A promising suggestion is brane inflation. At present, however, whilst inflation is understood principally by its detailed predictions of the initial conditions for the hot early universe, the particle physics is largely ad hoc modelling. As such, despite the stringent observational tests inflation has passed, there are many open questions about the theory.
Fine-tuning problem
One of the most severe challenges for inflation arises from the need for fine tuning in inflationary theories. In new inflation, the slow-roll conditions must be satisfied for inflation to occur. The slow-roll conditions say that the inflaton potential must be flat (compared to the large vacuum energy) and that the inflaton particles must have a small mass. In order for the new inflation theory of Linde, Albrecht and Steinhardt to be successful, therefore, it seemed that the universe must have a scalar field with an especially flat potential and special initial conditions.
Andrei Linde
Andrei Linde proposed a theory known as chaotic inflation in which he suggested that the conditions for inflation are actually satisfied quite generically and inflation will occur in virtually any universe that begins in a chaotic, high energy state and has a scalar field with unbounded potential energy. However, in his model the inflaton field necessarily takes values larger than one Planck unit: for this reason, these are often called large field models and the competing new inflation models are called small field models. In this situation, the predictions of effective field theory are thought to be invalid, and renormalization should cause large corrections that could prevent inflation. This problem has not yet been resolved and some cosmologists argue that the small field models, in which inflation can occur at a much lower energy scale, are better models of inflation. While inflation depends on quantum field theory (and the semiclassical approximation to quantum gravity) in an important way, it has not been completely reconciled with these theories.
Robert Brandenberger has commented on fine-tuning in another situation. The amplitude of the primordial inhomogeneities produced in inflation is directly tied to the energy scale of inflation. There are strong suggestions that this scale is around 1016 GeV or 10−3 times the Planck energy. The natural scale is naïvely the Planck scale so this small value could be seen as another form of fine-tuning (called a hierarchy problem): the energy density given by the scalar potential is down by 10−12 compared to the Planck density. This is not usually considered to be a critical problem, however, because the scale of inflation corresponds naturally to the scale of gauge unification.
Eternal inflation
Cosmic inflation seems to be eternal the way it is theorised. Although new inflation is classically rolling down the potential, quantum fluctuations can sometimes bring it back up to previous levels. These regions in which the inflaton fluctuates upwards expand much faster than regions in which the inflaton has a lower potential energy, and tend to dominate in terms of physical volume. This steady state, which first developed by Vilenkin, is called "eternal inflation". It has been shown that any inflationary theory with an unbounded potential is eternal. It is a popular belief among physicists that this steady state cannot continue forever into the past. The inflationary spacetime, which is similar to de Sitter space, is incomplete without a contracting region. However, unlike de Sitter space, fluctuations in a contracting inflationary space will collapse to form a gravitational singularity, a point where densities become infinite. Therefore, it is necessary to have a theory for the universe's initial conditions. Linde, however, believes inflation may be past eternal.
Initial conditions
Some physicists have tried to avoid the initial conditions problem by proposing models for an eternally inflating universe with no origin. These models propose that whilst the universe, on the largest scales, expands exponentially it is always spatially infinite and has existed, and will exist, forever.
Other proposals attempt to describe the ex nihilo creation of the universe quantum cosmology and the following inflation. Vilenkin put forth one such scenario. Hartle and Hawking offered the no-boundary proposal for the initial creation of the universe in which inflation comes about naturally.
Alan Guth has described the inflationary universe as the "ultimate free lunch": new universes, similar to our own, are continually produced in a vast inflating background. Gravitational interactions, in this case, circumvent (but do not violate) neither the first law of thermodynamics ( energy conservation) nor the second law of thermodynamics (entropy and the arrow of time problem). However, while there is consensus that this solves the initial conditions problem, some have disputed this, as it is much more likely that the universe came about by a quantum fluctuation. Donald Page was an outspoken critic of inflation because of this anomaly. He stressed that the thermodynamic arrow of time necessitates low entropy initial conditions, which would be highly unlikely. According to them, rather than solving this problem, the inflation theory further aggravates it – the reheating at the end of the inflation era increases entropy, making it necessary for the initial state of the Universe to be even more orderly than in other Big Bang theories with no inflation phase.
Hawking and Page later found ambiguous results when they attempted to compute the probability of inflation in the Hartle-Hawking initial state. Other authors have argued that, since inflation is eternal, the probability doesn't matter as long as it is not precisely zero: once it starts, inflation perpetuates itself and quickly dominates the universe. However, Albrecht and Lorenzo Sorbo have argued that the probability of an inflationary cosmos, consistent with today's observations, emerging by a random fluctuation from some pre-existent state, compared with a non-inflationary cosmos overwhelmingly favours the inflationary scenario, simply because the "seed" amount of non-gravitational energy required for the inflationary cosmos is so much less than any required for a non-inflationary alternative, which outweighs any entropic considerations.
Another problem that has occasionally been mentioned is the trans-Planckian problem or trans-Planckian effects. Since the energy scale of inflation and the Planck scale are relatively close, some of the quantum fluctuations which have made up the structure in our universe were smaller than the Planck length before inflation. Therefore, there ought to be corrections from Planck-scale physics, in particular the unknown quantum theory of gravity. There has been some disagreement about the magnitude of this effect: about whether it is just on the threshold of detectability or completely undetectable.
Reheating
The end of inflation is called reheating or thermalization because the large potential energy decays into particles and fills the universe with radiation. Because the nature of the inflaton is not known, this process is still poorly understood, although it is believed to take place through a parametric resonance.
Non-eternal inflation
Another kind of inflation, called hybrid inflation, is an extension of new inflation. It introduces additional scalar fields, so that while one of the scalar fields is responsible for normal slow roll inflation, another triggers the end of inflation: when inflation has continued for sufficiently long, it becomes favorable to the second field to decay into a much lower energy state. Unlike most other models of inflation, many versions of hybrid inflation are not eternal.
In hybrid inflation, one of the scalar fields is responsible for most of the energy density (thus determining the rate of expansion), while the other is responsible for the slow roll (thus determining the period of inflation and its termination). Thus fluctuations in the former inflaton would not affect inflation termination, while fluctuations in the latter would not affect the rate of expansion. Therefore hybrid inflation is not eternal. When the second (slow-rolling) inflaton reaches the bottom of its potential, it changes the location of the minimum of the first inflaton's potential, which leads to a fast roll of the inflaton down its potential, leading to termination of inflation.
Inflation and string cosmology
The discovery of flux compactifications have opened the way for reconciling inflation and string theory. A new theory, called brane inflation suggests that inflation arises from the motion of D-branes in the compactified geometry, usually towards a stack of anti-D-branes. This theory, governed by the Dirac-Born-Infeld action, is very different from ordinary inflation. The dynamics are not completely understood. It appears that special conditions are necessary since inflation occurs in tunneling between two vacua in the string landscape. The process of tunneling between two vacua is a form of old inflation, but new inflation must then occur by some other mechanism.
Alternatives to inflation
String theory requires that, in addition to the three spatial dimensions we observe, there exist additional dimensions that are curled up or compactified (see also Kaluza-Klein theory). Extra dimensions appear as a frequent component of supergravity models and other approaches to quantum gravity. This raises the question of why four space-time dimensions became large and the rest became unobservably small. An attempt to address this question, called string gas cosmology, was proposed by Robert Brandenberger and Cumrun Vafa. This model focuses on the dynamics of the early universe considered as a hot gas of strings. Brandenberger and Vafa show that a dimension of spacetime can only expand if the strings that wind around it can efficiently annihilate each other. Each string is a one-dimensional object, and the largest number of dimensions in which two strings will generically intersect (and, presumably, annihilate) is three. Therefore, one argues that the most likely number of non-compact (large) spatial dimensions is three. Current work on this model centers on whether it can succeed in stabilizing the size of the compactified dimensions and produce the correct spectrum of primordial density perturbations. For a recent review, see
The ekpyrotic and cyclic models are also considered competitors to inflation. These models solve the horizon problem through an expanding epoch well before the Big Bang, and then generate the required spectrum of primordial density perturbations during a contracting phase leading to a Big Crunch. The universe passes through the Big Crunch and emerges in a hot Big Bang phase. In this sense they are reminiscent of the oscillatory universe proposed by Richard Chace Tolman: however in Tolman's model the total age of the universe is necessarily finite, while in these models this is not necessarily so. Whether the correct spectrum of density fluctuations can be produced, and whether the universe can successfully navigate the Big Bang/Big Crunch transition, remains a topic of controversy and current research.


