Electron
2008/9 Schools Wikipedia Selection. Related subjects: Electricity and Electronics; Physics
![]() Theoretical estimates of the electron density for the first few hydrogen atom electron orbitals shown as cross-sections with colour-coded probability density |
|
| Composition | Elementary particle |
|---|---|
| Family | Fermion |
| Group | Lepton |
| Generation | First |
| Interaction | Gravity, Electromagnetic, Weak |
| Antiparticle | Positron |
| Theorized | G. Johnstone Stoney (1874) |
| Discovered | J.J. Thomson (1897) |
| Symbol | e−, β− |
| Mass | 9.109 382 15(45) × 10–31 kg 5.485 799 09(27) × 10–4 u 1⁄1822.888 4843(11) u |
| Electric charge | –1.602 176 487(40) × 10–19 C |
| Spin | ½ |
The electron is a fundamental subatomic particle that carries a negative electric charge. It is a spin ½ lepton that participates in electromagnetic interactions, and its mass is approximately 1 / 1836 of that of the proton. Together with atomic nuclei, which consist of protons and neutrons, electrons make up atoms. Their interaction with adjacent nuclei is the main cause of chemical bonding.
History
The name electron comes from the Greek word for amber, ήλεκτρον. This material played an essential role in the discovery of electrical phenomena. The ancient Greeks knew, for example, that rubbing a piece of amber with fur left an electric charge on its surface, which could then create a spark when brought close to a grounded object. For more about the history of the term electricity, see History of electricity.
The electron as a unit of charge in electrochemistry was posited by G. Johnstone Stoney in 1874, who also coined the term electron in 1894.
In this paper an estimate was made of the actual amount of this most remarkable fundamental unit of electricity, for which I have since ventured to suggest the name electron.
— Stoney, George Johnstone (October 1894). " Of the "Electron," or Atom of Electricity". Philosophical Magazine 38 (5): 418-420.
During the late 1890s a number of physicists posited that electricity could be conceived of as being made of discrete units, which were given a variety of names, but the reality of these units had not been confirmed in a compelling way.
The discovery that the electron was a subatomic particle was made in 1897 by J.J. Thomson at the Cavendish Laboratory at Cambridge University, while he was studying cathode ray tubes. A cathode ray tube is a sealed glass cylinder in which two electrodes are separated by a vacuum. When a voltage is applied across the electrodes, cathode rays are generated, causing the tube to glow. Through experimentation, Thomson discovered that the negative charge could not be separated from the rays (by the application of magnetism), and that the rays could be deflected by an electric field. He concluded that these rays, rather than being waves, were composed of negatively charged particles he called "corpuscles". He measured their mass-to-charge ratio and found it to be over a thousand times smaller than that of a hydrogen ion, suggesting that they were either very highly charged or very small in mass. Later experiments by other scientists upheld the latter conclusion. Their mass-to-charge ratio was also independent of the choice of cathode material and the gas originally in the vacuum tube. This led Thomson to conclude that they were universal among all materials.
The electron's charge was carefully measured by R. A. Millikan in his oil-drop experiment of 1909.
The periodic law states that the chemical properties of elements largely repeat themselves periodically and is the foundation of the periodic table of elements. The law itself was initially explained by the atomic mass of the element. However, as there were anomalies in the periodic table, efforts were made to find a better explanation for it. In 1913, Henry Moseley introduced the concept of the atomic number and explained the periodic law in terms of the number of protons each element has. In the same year, Niels Bohr showed that electrons are the actual foundation of the table. In 1916, Gilbert Newton Lewis explained the chemical bonding of elements by electronic interactions.
Classification
The electron is in the class of subatomic particles called leptons, which are believed to be fundamental particles.
As with all particles, electrons can also act as waves. This is called the wave-particle duality, also known by the term complementarity coined by Niels Bohr, and can be demonstrated using the double-slit experiment.
The antiparticle of an electron is the positron, which has positive rather than negative charge. The discoverer of the positron, Carl D. Anderson, proposed calling standard electrons negatrons, and using electron as a generic term to describe both the positively and negatively charged variants. This usage is occasionally encountered today.
Properties and behaviour
Electrons have an electric charge of −1.6021765 × 10−19 coulomb, a mass of 9.11 × 10−31 kg based on charge/mass measurements and a relativistic rest mass of about 0.511 MeV/c². The mass of the electron is approximately 1/1836 of the mass of the proton. The common electron symbol is e−. Electron mean lifetime is >4.6x1026 years (see Particle decay).
According to quantum mechanics, electrons can be represented by wavefunctions, from which a calculated probabilistic electron density can be determined. The orbital of each electron in an atom can be described by a wavefunction. Based on the Heisenberg uncertainty principle, the exact momentum and position of the actual electron cannot be simultaneously determined. This is a limitation which, in this instance, simply states that the more accurately we know a particle's position, the less accurately we can know its momentum, and vice versa.
The electron has spin ½ and is a fermion (it follows Fermi-Dirac statistics). In addition to its intrinsic angular momentum, an electron has an intrinsic magnetic moment along its spin axis.
Electrons in an atom are bound to that atom, while electrons moving freely in vacuum, space or certain media are free electrons that can be focused into an electron beam. When free electrons move, there is a net flow of charge, and this flow is called an electric current. The drift velocity of electrons in metal wires is on the order of millimetres per second. However, the speed at which a current at one point in a wire causes a current in other parts of the wire, the velocity of propagation, is typically 75% of light speed.
In some superconductors, pairs of electrons move as Cooper pairs in which their motion is coupled to nearby matter via lattice vibrations called phonons. The distance of separation between Cooper pairs is roughly 100 nm. (Rohlf, J.W.)
A body has an electric charge when that body has more or fewer electrons than are required to balance the positive charge of the nuclei. When there is an excess of electrons, the object is said to be negatively charged. When there are fewer electrons than protons, the object is said to be positively charged. When the number of electrons and the number of protons are equal, their charges cancel each other and the object is said to be electrically neutral. A macroscopic body can develop an electric charge through rubbing, by the phenomenon of triboelectricity.
When electrons and positrons collide, they annihilate each other and produce pairs of high-energy photons or other particles. On the other hand, high-energy photons may transform into an electron and a positron by a process called pair production, but only in the presence of a nearby charged particle, such as a nucleus.
The electron is currently described as a fundamental or elementary particle. It has no known substructure. Hence, for convenience, it is usually defined or assumed to be a point-like mathematical point charge, with no spatial extension. However, when a test particle is forced to approach an electron, we measure changes in its properties (charge and mass). This effect is common to all elementary particles. Current theory suggests that this effect is due to the influence of vacuum fluctuations in its local space, so that the properties measured from a significant distance are considered to be the sum of the bare properties and the vacuum effects (see renormalization).
The classical electron radius is 2.8179 × 10−15 m. This is the radius that is inferred from the electron's electric charge, by using the classical theory of electrodynamics alone, ignoring quantum mechanics. Classical electrodynamics (Maxwell's electrodynamics) is the older concept that is widely used for practical applications of electricity, electrical engineering, semiconductor physics, and electromagnetics. Quantum electrodynamics, on the other hand, is useful for applications involving modern particle physics and some aspects of optical, laser and quantum physics.
Based on current theory, the speed of an electron can approach, but never reach, c (the speed of light in a vacuum). This limitation is attributed to Einstein's theory of special relativity which defines the speed of light as a constant within all inertial frames. However, when relativistic electrons are injected into a dielectric medium such as water, where the local speed of light is significantly less than c, the electrons (temporarily) travel faster than light in the medium. As they interact with the medium, they generate a faint bluish light called Cherenkov radiation.
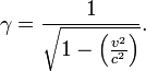
The effects of special relativity are based on a quantity known as γ or the Lorentz factor. γ is a function of v, the coordinate velocity of the particle. It is defined as:
The kinetic energy necessary to accelerate an electron is:
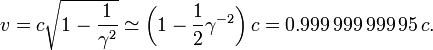
For example, the Stanford linear accelerator can accelerate an electron to roughly 51 GeV . This gives a gamma of 100,000, since the mass of an electron is 0.51 MeV/c² (the relativistic momentum of this electron is 100,000 times the classical momentum of an electron at the same speed). Solving the equation above for the speed of the electron (and using an approximation for large γ) gives:
The de Broglie wavelength of a particle is λ=h/p where h is Planck's constant and p is momentum. At low (e.g photoelectron) energies this determines the size of atoms, and at high (e.g. electron microscope) energies this makes the Bragg angles for electron diffraction (co-discovered by J. J. Thomson's son G. P. Thomson) well under one degree. Since momentum is mass times proper-velocity w=γv, we have
For the 51 GeV electron above, proper-velocity is approximately γc, making the wavelength of those electrons small enough to explore structures well below the size of an atomic nucleus.
Visualisation
The first video images of an electron were captured by a team at Lund University in Sweden in February 2008. To capture this event, the scientists used extremely short flashes of light. To produce this light, newly developed technology for generating short pulses from intense laser light, called attosecond pulses, allowed the team at the university’s Faculty of Engineering to capture the electron's motion for the first time.
"It takes about 150 attoseconds for an electron to circle the nucleus of an atom. An attosecond is related to a second as a second is related to the age of the universe," explained Johan Mauritsson, an assistant professor in atomic physics at the Faculty of Engineering, Lund University.
Video is available here:
In practice
In the universe
Scientists believe that the number of electrons existing in the known universe is at least 1079. This number amounts to an average density of about one electron per cubic metre of space. Astronomers have estimated that 90% of the mass of atoms in the universe is hydrogen, which is made of one electron and one proton.
In industry
Electron beams are used in welding, lithography, scanning electron microscopes and transmission electron microscopes. LEED and RHEED are surface-imaging techniques that use electrons.
Electrons are also at the heart of cathode ray tubes, which are used extensively as display devices in laboratory instruments, computer monitors and television sets. In a photomultiplier tube, one photon strikes the photocathode, initiating an avalanche of electrons that produces a detectable current.
In the laboratory
The uniquely high charge-to-mass ratio of electrons means that they interact strongly with atoms, and are easy to accelerate and focus with electric and magnetic fields. Hence some of today's aberration-corrected transmission electron microscopes use 300keV electrons with velocities greater than the speed of light in water, wavelengths below 2 picometers, transverse coherence-widths over a nanometer, and longitudinal coherence-widths 100 times that, to image scattering from individual atomic-nuclei ( HAADF) as well as interference-contrast from solid-specimen exit-surface deBroglie-phase ( HRTEM) with lateral point-resolutions down to 60 picometers. Magnifications approaching 100 million are needed to make the resulting image detail comfortably visible to the naked eye.
Quantum effects of electrons are also used in the scanning tunneling microscope, to study features on solid surfaces with lateral-resolution at the atomic scale (around 200 picometers) and vertical-resolutions much better than that. In addition to the strong dependence of quantum tunneling on tip-specimen separation, the vertical sensitivity stems from the precise electronic control of separation possible with a piezoelectric scanner.
In medicine
In radiation therapy, electron beams are used for treatment of superficial tumours.
In theory
In Dirac's model, an electron is defined to be a mathematical point, a point-like, charged "bare" particle surrounded by a sea of interacting pairs of virtual particles and antiparticles. These provide a correction of just over 0.1% to the predicted value of the electron's gyromagnetic ratio from exactly 2 (as predicted by Dirac's single-particle model). The extraordinarily precise agreement of this prediction with the experimentally determined value is viewed as one of the great achievements of modern physics.
In the Standard Model of particle physics, the electron is the first- generation charged lepton. It forms a weak isospin doublet with the electron neutrino; these two particles interact with each other through both the charged and neutral current weak interaction. The electron is very similar to the two more massive particles of higher generations, the muon and the tau lepton, which are identical in charge, spin, and interaction but differ in mass.
The antimatter counterpart of the electron is the positron. The positron has the same amount of electrical charge as the electron, except that the charge is positive. It has the same mass and spin as the electron. When an electron and a positron meet, they may annihilate each other, giving rise to two gamma-ray photons emitted at roughly 180° to each other. If the electron and positron had negligible momentum, each gamma ray will have an energy of 0.511 MeV. See also Electron-positron annihilation.
Electrons are a key element in electromagnetism, a theory that is accurate for macroscopic systems, and for classical modelling of microscopic systems.
|
|||||




