Exponentiation
2008/9 Schools Wikipedia Selection. Related subjects: Mathematics
Exponentiation is a mathematical operation, written an, involving two numbers, the base a and the exponent n. When n is a positive integer, exponentiation corresponds to repeated multiplication:
just as multiplication by a whole number corresponds to repeated addition:
The exponent is usually shown as a superscript to the right of the base. The exponentiation an can be read as: a raised to the n-th power or a raised to the power [of] n, or more briefly: a to the n-th power or a to the power [of] n, or even more briefly: a to the n. Some exponents can be read in a certain way; for example a2 is usually read as a squared and a3 as a cubed.
The power an can also be defined when the exponent n is a negative integer. When the base a is a positive real number, exponentiation is defined for real and even complex exponents n. The special exponential function ex is fundamental for this definition. It enables the functions of trigonometry to be expressed by exponentiation. However, when the base a is not a positive real number and the exponent n is not an integer, then an cannot be defined as a unique continuous function of a.
Exponentiation where the exponent is a matrix is used for solving systems of linear differential equations.
Exponentiation is used pervasively in many other fields as well, including economics, biology, chemistry, physics, and computer science, with applications such as compound interest, population growth, chemical reaction kinetics, wave behaviour, and public key cryptography.
Exponentiation with integer exponents
The exponentiation operation with integer exponents only requires elementary algebra.
Positive integer exponents
a2 = a·a is called the square of a because the area of a square with side-length a is a2.
a3 = a·a·a is called the cube, because the volume of a cube with side-length a is a3.
So 32 is pronounced "three squared",and 23 is "two cubed".
The exponent says how many copies of the base are multiplied together. For example, 35 = 3·3·3·3·3 = 243. The base 3 appears 5 times in the repeated multiplication, because the exponent is 5. Here, 3 is the base, 5 is the exponent, and 243 is the power or, more specifically, the fifth power of 3 or 3 raised to the fifth power.
The word "raised" is usually omitted, and most often "power" as well, so 35 is typically pronounced "three to the fifth" or "three to the five".
Formally, powers with positive integer exponents may be defined by the initial condition a1 = a and the recurrence relation an+1 = a·an.
Exponents one and zero
Notice that 31 is the product of only one 3, which is evidently 3.
Also note that 35 = 3·34. Also 34 = 3·33. Continuing this trend, we should have
- 31 = 3·30.
Another way of saying this is that when n, m, and n - m are positive (and if x is not equal to zero), one can see by counting the number of occurrences of x that
Extended to the case that n and m are equal, the equation would read
since both the numerator and the denominator are equal. Therefore we take this as the definition of x0.
Therefore we define 30 = 1 so that the above equality holds. This leads to the following rule:
- Any number to the power 1 is itself.
- Any nonzero number to the power 0 is 1; one interpretation of these powers is as empty products. The case of 00 is discussed below.
Combinatorial interpretation
For non-negative integers n and m, the power nm equals the cardinality of the set of m- tuples from an n-element set, or the number of m-letter words from an n-letter alphabet.
- 05 = | {} | = 0. There is no 5-tuple from the empty set.
- 14 = | { (1,1,1,1) } | = 1. There is one 4-tuple from a one-element set.
- 23 = | { (1,1,1), (1,1,2), (1,2,1), (1,2,2), (2,1,1), (2,1,2), (2,2,1), (2,2,2) } | = 8. There are 8 3-tuples from a two-element set.
- 32 = | { (1,1), (1,2), (1,3), (2,1), (2,2), (2,3), (3,1), (3,2), (3,3) } | = 9. There are 9 2-tuples from a three-element set.
- 41 = | { (1), (2), (3), (4) } | = 4. There are 4 1-tuples from a four-element set.
- 50 = | { () } | = 1. There is exactly one empty tuple.
- 14 = | { (1,1,1,1) } | = 1. There is one 4-tuple from a one-element set.
See also exponentiation over sets.
Negative integer exponents
Raising a nonzero number to the −1 power produces its reciprocal.
Thus:
Raising 0 to a negative power would imply division by 0, and so is undefined.
A negative integer exponent can also be seen as repeated division by the base. Thus
.
Identities and properties
The most important identity satisfied by integer exponentiation is:
This identity has the consequence:
for a ≠ 0, and
.
Another basic identity is
.
While addition and multiplication are commutative (for example, 2+3 = 5 = 3+2 and 2·3 = 6 = 3·2), exponentiation is not commutative: 23 = 8, but 32 = 9.
Similarly, while addition and multiplication are associative (for example, (2+3)+4 = 9 = 2+(3+4) and (2·3)·4 = 24 = 2·(3·4), exponentiation is not associative either: 23 to the 4th power is 84 or 4096, but 2 to the 34 power is 281 or 2,417,851,639,229,258,349,412,352. Without parentheses to modify the order of calculation, the order is usually understood to be from right to left:
Powers of ten
- See Scientific notation
Powers of 10 are easily computed in the base ten (decimal) number system. For example, 108 = 100000000.
Exponentiation with base 10 is used in scientific notation to describe large or small numbers. For instance, 299,792,458 (the speed of light in a vacuum, in meters per second) can be written as 2.99792458·108 and then approximated as 2.998·108, (or sometimes as 299.8·106, or 299.8E+6, especially in computer software).
SI prefixes based on powers of 10 are also used to describe small or large quantities. For example, the prefix kilo means 103 = 1000, so a kilometre is 1000 metres.
Powers of two
The positive powers of 2 are important in computer science because there are 2n possible values for an n- bit variable. See Binary numeral system.
Powers of 2 are important in set theory since a set with n members has a power set, or set of all subsets of the original set, with 2n members.
The negative powers of 2 are commonly used, and the first two have special names: half, and quarter.
Powers of one
The integer powers of one are one: 1n = 1.
Powers of zero
If the exponent is positive, the power of zero is zero: 0n = 0, where n > 0.
If the exponent is negative, the power of zero (0−n, where n > 0) remains undefined, because division by zero is implied.
If the exponent is zero, some authors define 00=1, whereas others leave it undefined, as discussed below.
Powers of minus one
The powers of minus one are useful for expressing alternating sequences.
If the exponent is even, the power of minus one is one: (−1)2n = 1.
If the exponent is odd, the power of minus one is minus one: (−1)2n+1 = −1.
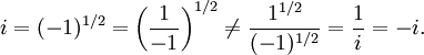
Powers of the imaginary unit
The powers of the imaginary unit i are useful for expressing sequences of period 4. See for example Root of unity#Periodicity.
Powers of e
The number e, the base of the natural logarithm, is a well studied constant approximately equal to 2.718. It can be approximated by large positive or negative powers of numbers close to one, such as
or
and defined as the limit
Any nonzero integer power of e can be computed like this:
The exponential function, defined by
has applications in many areas of mathematics and science. This definition of ex matches the definition of ek when x is an integer, but it also applies for fractional, real, or complex values of x, and even when x is a square matrix, which is used in ordinary differential equations.
Another popular formula is the power series
.
Powers of real numbers

Raising a positive real number to a power that is not an integer can be accomplished in two ways.
- Rational number exponents can be defined in terms of nth roots, and arbitrary nonzero exponents can then be defined by continuity.
- The natural logarithm can be used to define real exponents using the exponential function.
The identities and properties shown above are true for non-integer exponents as well.
Principal n-th root
An nth root of a number a is a number b such that bn = a.
When referring to the nth root of a real number a it is assumed that what is desired is the principal nth root of the number. If a is a real number, and n is a positive integer, then the unique real solution with the same sign as a to the equation
is called the principal nth root of a, and is denoted
using the radical symbol
.
.
For example: 41/2 = 2, 81/3 = 2, (-8)1/3 = -2, .
Note that if n is even, negative numbers will not have a principal nth root.
Rational powers of positive real numbers
Exponentiation with a rational exponent m/n can be defined as
.
For example, 82/3 = 4.
Since any real number can be approximated by rational numbers, exponentiation to an arbitrary real exponent k can be defined by continuity with the rule
where the limit is taken only over rational values of r.
For example, if
then
Real powers of positive real numbers
The natural logarithm ln(x) is the inverse of the exponential function ex. It is defined for every positive real number b and satisfies the equation
Assuming bx is already defined, logarithm and exponent rules give the equality
This equality can be used to define exponentiation with any positive real base b as
This definition of the real number power bx agrees with the definition given above using rational exponents and continuity. The definition of exponentiation using logarithms is more common in the context of complex numbers, as discussed below.
Some rational powers of negative real numbers
Neither the logarithm method nor the fractional exponent method can be used to define ak as a real number for a negative real number a and an arbitrary real number k. In some special cases, a definition is possible: integral powers of negative real numbers are real numbers, and rational powers of the form am/n where n is odd can be computed using roots. But since there is no real number x such that x2 = −1, the definition of am/n when n is even and m is odd must use the imaginary unit i, as described more fully in the next section.
The logarithm method cannot be used to define ak as a real number when a < 0 because ex is nonnegative for every real number x, so log(a) cannot be a real number.
The rational exponent method cannot be used for negative values of a because it relies on continuity. The function f(r) = ar has a unique continuous extension from the rational numbers to the real numbers for each a > 0. But when a < 0, the function f is not even continuous on the set of rational numbers r for which it is defined.
For example, take a = −1. The nth root of −1 is −1 for every odd natural number n. So if n is an odd positive integer, (−1)(m/n) = −1 if m is odd, and (−1)(m/n) = 1 if m is even. Thus the set of rational numbers q for which −1q = 1 is dense in the rational numbers, as is the set of q for which −1q = −1. This means that the function (−1)q is not continuous at any rational number q where it is defined.
Imaginary powers of e
The geometric interpretation of the operations on complex numbers and the definition of powers of e is the clue to understanding e i·x for real x. Consider the right triangle (0, 1, 1+i·x/n). For big values of n the triangle is almost a circular sector with a small central angle equal to x/n radian. The triangles (0, (1+i·x/n)k, (1+i·x/n)k+1) are mutually similar for all values of k. So for big values of n the limiting point of (1+ix/n)n is the point on the unit circle whose angle from the positive real axis is x radians. The polar coordinates of this point are (r,θ) = (1,x), and the cartesian coordinates are (cos(x), sin(x)). So e i·x = cos(x) + i·sin(x), and this is Euler's formula, connecting algebra to trigonometry by means of complex numbers.
The solutions to the equation ez = 1 are the integer multiples of 2·π·i :
More generally, if eb = a, then every solution to ez = a can be obtained by adding an integer multiple of 2·π·i to b:
.
Thus the complex exponential function is a periodic function with period 2·π·i.
Trigonometric functions
It follows from Euler's formula that the trigonometric functions cosine and sine are
Historically, cosine and sine were defined geometrically before the invention of complex numbers. The above formula reduces the complicated formulas for trigonometric functions of a sum into the simple exponentiation formula
Using exponentiation with complex exponents one need not study trigonometry.
Complex powers of e
The power ex+i·y is computed ex · ei·y. The real factor ex is the absolute value of ex+i·y and the complex factor ei·y identifies the direction of ex+i·y.
Complex powers of positive real numbers
If a is a positive real number, and z is any complex number, the power az is defined as ez·ln(a), where x = ln(a) is the unique real solution to the equation ex = a. So the same method working for real exponents also works for complex exponents. For example:
- 2 i = e i·ln(2) = cos(ln(2))+i·sin(ln(2)) = 0.7692+i·0.63896
- e i = 0.54030+i·0.84147
- 10 i = −0.66820+i·0.74398
- (e 2·π) i = 535.49 i = 1
- e i = 0.54030+i·0.84147
Powers of complex numbers
Integer powers of complex numbers are defined by repeated multiplication or division as above. Complex powers of positive reals are defined via ex as above. These are continuous functions. Trying to extend these functions to the general case of non-integer powers of complex numbers that are not positive reals leads to difficulties. Either we define discontinuous functions or multivalued functions. None of these options are entirely satisfactory.
The rational power of a complex number must be the solution to an algebraic equation. For example, w = z1/2 must be a solution to the equation w2 = z. But if w is a solution, then so is −w, because (−1)2 = 1 . So the algebraic equation w2 = z is not sufficient for defining z1/2. Choosing one of the two solutions as the principal value of z1/2 leaves us with a function that is not continuous, and the usual rules for manipulating powers lead us astray.
The logarithm of a complex numbers
One solution, z = log a, to the equation ez = a, is called the principal value of the complex logarithm. It is the unique solution whose imaginary part lies in the interval (−π, π]. For example, log 1 = 0, log(−1) = πi, log i = πi/2, and log(−i) = −πi/2. The principal value of the logarithm is known as a branch of the logarithm; other branches can be specified by choosing a different range for the imaginary part of the logarithm. The boundary between branches is known as a branch cut. The principal value has a branch cut extending from the origin along the negative real axis, and is discontinuous at each point of the branch cut.
Complex power of a complex number
The general complex power ab of a nonzero complex number a is defined as
When the exponent is a rational number the power z = an/m is a solution to the equation zm = an .
The computation of complex powers is facilitated by converting the base a to polar form, as described in detail below.
Complex roots of unity
A complex number a such that an = 1 for a positive integer n is an nth root of unity. Geometrically, the nth roots of unity lie on the unit circle of the complex plane at the vertices of a regular n-gon with one vertex on the real number 1.
If zn = 1 but zk ≠ 1 for all natural numbers k such that 0 < k < n, then z is called a primitive nth root of unity. The negative unit −1 is the only primitive square root of unity. The imaginary unit i is one of the two primitive 4-th roots of unity; the other one is −i.
The number e2πi (1/n) is the primitive nth root of unity with the smallest positive complex argument. (It is sometimes called the principal nth root of unity, although this terminology is not universal and should not be confused with the principal value of n√1, which is 1.)
The other nth roots of unity are given by
for 2 ≤ k ≤ n.
Roots of arbitrary complex numbers
Although there are infinitely many possible values for a general complex logarithm, there are only a finite number of values for the power az in the important special case where z = 1/n and n is a positive integer. These are the nth roots of a; they are solutions of the equation xn = a. As with real roots, a second root is also called a square root and a third root is also called a cube root.
It is conventional in mathematics to define a1/n as the principal value of the root. If a is a positive real number, it is also conventional to select a positive real number as the principal value of the root a1/n. For general complex numbers, the nth root with the smallest argument is often selected as the principal value of the nth root operation, as with principal values of roots of unity.
The set of nth roots of a complex number a is obtained by multiplying the principal value a1/n by each of the nth roots of unity. For example, the fourth roots of 16 are 2, −2, 2i, and −2i, because the principal value of the fourth root of 16 is 2 and the fourth roots of unity are 1, −1, i, and −i.
Computing complex powers
It is often easier to compute complex powers by writing the number to be exponentiated in polar form. Every complex number z can be written in the polar form
where r is a non-negative real number and θ is the (real) argument of z. The argument, like the complex logarithm, has many possible values for each z and so a branch cut is used to choose a specific value. The polar form has a simple geometric interpretation: if a complex number u + iv is thought of as representing a point (u, v) in the complex plane using Cartesian coordinates, then (r, θ) is the same point in polar coordinates. That is, r is the "radius" r2 = u2 + v2 and θ is the "angle" θ = atan2(v, u). The branch cut corresponds to the notion that a polar angle θ is ambiguous, since any multiple of 2π could be added to θ without changing the location of the point. The principal value (the most common branch cut), as mentioned above, corresponds to θ chosen in the interval (−π, π].
In order to compute the complex power ab, write a in polar form:
.
Then
and thus
If b is decomposed as c + di, then the formula for ab can be written more explicitly as
This final formula allows complex powers to be computed easily from decompositions of the base into polar form and the exponent into Cartesian form. It is shown here both in polar form and in Cartesian form (via Euler's identity).
The following examples use the principal value, the branch cut which causes θ to be in the interval (−π, π]. To compute ii, write i in polar and Cartesian forms:
Then the formula above, with r = 1, θ = π/2, c = 0, and d = 1, yields:
Similarly, to find (−2)3 + 4i, compute the polar form of −2,
and use the formula above to compute
The value of a complex power depends on the branch used. For example, if the polar form i = 1ei(5π/2) is used to compute i i, the power is found to be e−5π/2; the principal value of i i, computed above, is e−π/2.
Failure of power and logarithm identities
Identities for powers and logarithms that hold for positive real numbers may fail when the positive real numbers are replaced by arbitrary complex numbers. There is no method to define complex powers or the complex logarithm as complex-valued functions while preserving the identities these operations possess in the positive real numbers.
An example involving logarithms concerns the rule log(ab) = b·log a, which holds whenever a is a positive real number and b is a real number. The following calculation shows that this identity does not hold in general for the principal value of the complex logarithm when a is not a positive real number:
Regardless of which branch of the logarithm is used, a similar failure of the identity will always exist.
An example involving power rules concerns the identities
These identities are valid when a and b are positive real numbers and c is a real number. But a calculation using principal values shows that
and
These examples illustrate that complex powers and logarithms do not behave the same way as their real counterparts, and so caution is required when working with the complex versions of these operations.
Zero to the zero power
The evaluation of 00 presents a problem, because different mathematical reasoning leads to different results. The best choice for its value depends on the context. According to Benson (1999), "The choice whether to define 00 is based on convenience, not on correctness." There are two principal treatments in practice, one from discrete mathematics and the other from analysis.
In many settings, especially in foundations and combinatorics, 00 is defined to be 1. This definition arises in foundational treatments of the natural numbers as finite cardinals, and is useful for shortening combinatorial identities and removing special cases from theorems, as illustrated below. In many other settings, 00 is left undefined. In calculus, 00 is an indeterminate form, which must be analyzed rather than evaluated. In general, mathematical analysis treats 00 as undefined in order that the exponential function be continuous.
Justifications for defining 00 = 1 include:
- When 00 is regarded as an empty product of zeros, its value is 1.
- The combinatorial interpretation of 00 is the number of empty tuples of elements from the empty set. There is exactly one empty tuple.
- Equivalently, the set-theoretic interpretation of 00 is the number of functions from the empty set to the empty set. There is exactly one such function, the empty function.
- It greatly simplifies the theory of polynomials and power series that a constant term can be written ax0 for an arbitrary x. For example:
- The formula for the coefficients in a product of polynomials would lose much of its simplicity if constant terms had to be treated specially.
- A power series such as
is not valid for x = 0 unless 00, which appears in the numerator of the first term of the series, is 1. Otherwise one would need to use the longer identity
. - The binomial theorem
is not valid for x = 0, unless 00 = 1. By defining 00 to be 1, a special case of the theorem can be eliminated.
- In differential calculus, the power rule
is not valid for n=1 at x=0 unless 00 = 1. Defining it this way eliminates the need for a special case for the power rule.
In contexts where the exponent may vary continuously, it is generally best to treat 00 as an ill-defined quantity. Justifications for treating it as undefined include:
- The value 00 often arises as the formal limit of exponentiated functions, f(x)g(x), when f(x) and g(x) approach 0 as x approaches a (a constant or infinity). There, 00 suggests [lim f(x)]lim g(x), which is a well defined quantity and is the correct value of lim f(x)g(x) when f and g approach nonzero constants, but is not well defined when f and g approach 0. The same reasoning applies to certain powers involving infinity,
and
. A more abstract way of saying this is the following: The real function xy of the two nonnegative real variables x and y is not continuous at the point (x, y) = (0, 0), and so 00 is not determined by continuity. That is, the function xy has no continuous extension from the open first quadrant to include the point (0,0). The rule in calculus, that
whenever both sides of the equation are defined, would fail if 00 were defined. - The function zz, viewed as a function of a complex number variable z and defined as ez log z is undefined at z = 0 because log z is undefined at z = 0. Moreover, because zz has a logarithmic branch point at z = 0, it is not common to extend the domain of zz to the origin in this context.
Treatment in programming languages
The computer programming languages that evaluate 00 to be 1 include J, Java, Python, Ruby, Haskell, ML, Scheme, MATLAB, and Microsoft Windows' Calculator.
Maple simplifies a0 to 1 and 0a to 0, even if no constraints are placed on a, and evaluates 00 to 1.
Google search when used for its calculator function evaluates 00 to 1.
Mathematica simplifies a0 to 1, even if no constraints are placed on a. It does not simplify 0a, and it takes 00 to be an indeterminate form.
In the .NET Framework, the method System.Math.Pow treats 00 to be 1.
Powers with infinity
Exponential expressions involving infinity may be thought of as generalizations of more familiar kinds of exponentiation, but there are at least two sharply distinct kinds of generalization to the infinite case. On the one hand, there is the combinatorial or set theoretic interpretation; see exponentiation of cardinal numbers.
On the other hand, one can find expressions such as
and
arising in analysis for the same reason as 00, and they are undefined for the same reason. That is, it is true that (lim f(x))lim g(x) = lim f(x)g(x) when f and g approach nonzero finite constants, but not when they approach 0 or infinity; then, the limit of the power can be anything, not predictable from the limits of f and g.
It does make sense to say that
if this is simply interpreted as an abbreviation for the theorem that if f and g both approach infinity as x approaches a, then lim f(x)g(x) is also infinite. (Likewise,
,
, etc.)
Efficiently computing a power
The simplest method of computing an requires n−1 multiplication operations, but it can be computed more efficiently as illustrated by the following example. To compute 2100, note that 100 = 96 + 4 and 96 = 3*32. Compute the following in order:
- 22 = 4
- (22)2 = 24 = 16
- (24)2 = 28 = 256
- (28)2 = 216 = 65,536
- (216)2 = 232 = 4,294,967,296
- 232 232 23224 = 2100
- (22)2 = 24 = 16
This series of steps only requires 8 multiplication operations instead of 99.
In general, the number of multiplication operations required to compute an can be reduced to Θ(log n) by using exponentiation by squaring or (more generally) addition-chain exponentiation. Finding the minimal sequence of multiplications (the minimal-length addition chain for the exponent) for an is a difficult problem for which no efficient algorithms are currently known, but many reasonably efficient heuristic algorithms are available.
Exponential notation for function names
Placing an integer superscript after the name or symbol of a function, as if the function were being raised to a power, commonly refers to repeated function composition rather than repeated multiplication. Thus f3(x) may mean f(f(f(x))); in particular, f -1(x) usually denotes the inverse function of f.
However, for historical reasons, a special syntax applies to the trigonometric functions: a positive exponent applied to the function's abbreviation means that the result is raised to that power, while an exponent of −1 denotes the inverse function. That is, sin2x is just a shorthand way to write (sin x)2 without using parentheses, whereas sin−1x refers to the inverse function of the sine, also called arcsin x. There is no need for a shorthand for the reciprocals of trigonometric functions since each has its own name and abbreviation, for example 1 / sin(x) = (sin x)−1 is csc x. A similar convention applies to logarithms, where log2(x) = (log (x))2 and there is no common abbreviation for log(log(x)).
Generalizations of exponentiation
Exponentiation in abstract algebra
Exponentiation for integer exponents can be defined for quite general structures in abstract algebra.
Let X be a set with a power-associative binary operation, which we will write multiplicatively. In this very general situation, we can define xn for any element x of X and any nonzero natural number n, by simply multiplying x by itself n times; by definition, power associativity means that it doesn't matter in which order we perform the multiplications.
Now additionally suppose that the operation has an identity element 1. Then we can define x0 to be equal to 1 for any x. Now xn is defined for any natural number n, including 0.
Finally, suppose that the operation has inverses, and that the multiplication is associative (so that the magma is a group). Then we can define x−n to be the inverse of xn when n is a natural number. Now xn is defined for any integer n and any x in the group.
Exponentiation in this purely algebraic sense satisfies the following laws (whenever both sides are defined):
Here, we use a division slash ("/") to indicate multiplying by an inverse, in order to reserve the symbol x−1 for raising x to the power −1, rather than the inverse of x. However, as one of the laws above states, x−1 is always equal to the inverse of x, so the notation doesn't matter in the end.
If in addition the multiplication operation is commutative (so that the set X is an abelian group), then we have some additional laws:
- (xy)n = xnyn
- (x/y)n = xn/yn
If we take this whole theory of exponentiation in an algebraic context but write the binary operation additively, then "exponentiation is repeated multiplication" can be reinterpreted as "multiplication is repeated addition". Thus, each of the laws of exponentiation above has an analogue among laws of multiplication.
When one has several operations around, any of which might be repeated using exponentiation, it is common to indicate which operation is being repeated by placing its symbol in the superscript. Thus, x*n is x * ··· * x, while x#n is x # ··· # x, whatever the operations * and # might be.
Superscript notation is also used, especially in group theory, to indicate conjugation. That is, gh = h−1gh, where g and h are elements of some group. Although conjugation obeys some of the same laws as exponentiation, it is not an example of repeated multiplication in any sense. A quandle is an algebraic structure in which these laws of conjugation play a central role.
Exponentiation over sets
If n is a natural number and A is an arbitrary set, the expression An is often used to denote the set of ordered n-tuples of elements of A. This is equivalent to letting An denote the set of functions from the set {0, 1, 2, ..., n−1} to the set A; the n-tuple (a0, a1, a2, ..., an−1) represents the function that sends i to ai.
For an infinite cardinal number κ and a set A, the notation Aκ is also used to denote the set of all functions from a set of size κ to A. This is sometimes written κA to distinguish it from cardinal exponentiation, defined below.
This generalized exponential can also be defined for operations on sets or for sets with extra structure. For example, in linear algebra, it makes sense to index direct sums of vector spaces over arbitrary index sets. That is, we can speak of
where each Vi is a vector space. Then if Vi = V for each i, the resulting direct sum can be written in exponential notation as V(+)N, or simply VN with the understanding that the direct sum is the default. We can again replace the set N with a cardinal number n to get Vn, although without choosing a specific standard set with cardinality n, this is defined only up to isomorphism. Taking V to be the field R of real numbers (thought of as a vector space over itself) and n to be some natural number, we get the vector space that is most commonly studied in linear algebra, the Euclidean space Rn.
If the base of the exponentiation operation is a set, the exponentiation operation is the Cartesian product unless otherwise stated. Since multiple Cartesian products produce an n- tuple, which can be represented by a function on a set of appropriate cardinality, SN becomes simply the set of all functions from N to S in this case:
This fits in with the exponentiation of cardinal numbers, in the sense that |SN| = |S||N|, where |X| is the cardinality of X. When N=2={0,1}, we have |2X| = 2|X|, where 2X, usually denoted by PX, is the power set of X; each subset Y of X corresponds uniquely to a function on X taking the value 1 for x ∈ Y and 0 for x ∉ Y.
Exponentiation in category theory
In a Cartesian closed category, the exponential operation can be used to raise an arbitrary object to the power of another object. This generalizes the Cartesian product in the category of sets.
Exponentiation of cardinal and ordinal numbers
In set theory, there are exponential operations for cardinal and ordinal numbers.
If κ and λ are cardinal numbers, the expression κλ represents the cardinality of the set of functions from any set of cardinality λ to any set of cardinality κ. If κ and λ are finite then this agrees with the ordinary exponential operation. For example, the set of 3-tuples of elements from a 2-element set has cardinality 8.
Exponentiation of cardinal numbers is distinct from exponentiation of ordinal numbers, which is defined by a limit process. In the ordinal numbers, exponentiation is defined by transfinite induction. For ordinals α and β, the exponential αβ is the supremum of the ordinal product αγα over all γ < β.
Repeated exponentiation
Just as exponentiation of natural numbers is motivated by repeated multiplication, it is possible to define an operation based on repeated exponentiation; this operation is sometimes called tetration. Iterating tetration leads to another operation, and so on. This sequence of operations is captured by the Ackermann function.
Exponentiation in programming languages
The superscript notation xy is convenient in handwriting but inconvenient for typewriters and computer terminals that align the baselines of all characters on each line. Many programming languages have alternate ways of expressing exponentiation that do not use superscripts:
- x ↑ y: Algol, Commodore BASIC
- x ^ y: BASIC, J, Matlab, R, Microsoft Excel, TeX (and its derivatives), Haskell (for integer exponents), and most computer algebra systems
- x ** y: Ada, Bash, Fortran, FoxPro, Perl, Python, Ruby, SAS, ABAP, Haskell (for floating-point exponents), Turing
- x * y: APL
- Power(x, y): Microsoft Excel, Delphi/Pascal (declared in "Math"-unit)
- pow(x, y): C, C++, PHP
- Math.pow(x, y): Java, JavaScript, Modula-3
- Math.Pow(x, y): C#
- (expt x y): Common Lisp, Scheme
In Bash, C, C++, C#, Java, JavaScript, PHP and Python, the symbol ^ represents bitwise XOR. In Pascal, it represents indirection.
History of the notation
The term power was used by Euclid for the square of a line. Nicolas Chuquet used a form of exponential notation in the 15th century, which was later used by Henricus Grammateus and Michael Stifel. Samuel Jeake introduced the term indices in 1696. In the 16th century Robert Recorde used the terms square, cube, zenzizenzic (fourth power), surfolide (fifth), zenzicube (sixth), second surfolide (seventh) and Zenzizenzizenzic (eighth).
Another historical synonym, involution, is now rare and should not be confused with its more common meaning.



















![5^k \approx 5^{1.732} =5^{433/250}=\sqrt[250]{5^{433}} \approx 16.241 .](../../images/213/21365.png)











![\left( r^c e^{-d\theta} \right) e^{i (d \log r + c\theta)} = \left( r^c e^{-d\theta} \right) \left[ \cos(d \log r + c\theta) + i \sin(d \log r + c\theta) \right].](../../images/213/21379.png)


















