Fraction (mathematics)
2008/9 Schools Wikipedia Selection. Related subjects: Mathematics
In mathematics, a fraction (from the Latin fractus, broken) is a concept of a proportional relation between an object part and the object whole. Each fraction consists of a denominator (bottom) and a numerator (top), representing (respectively) the number of equal parts that an object is divided into, and the number of those parts indicated for the particular fraction.
For example, the fraction 3⁄4 could be used to represent three equal parts of a whole object, were it divided into four equal parts. Because it is impossible to divide something into zero equal parts, zero can never be the denominator of a fraction (see division by zero). A fraction with equal numerator and denominator is equal to one (e.g. 5⁄5 = 1) and the fraction form is rarely, if ever, given as a final result.
A fraction is an example of a specific type of ratio, in which the two numbers are related in a part-to-whole relationship, rather than as a comparative relation between two separate quantities. A fraction is a quotient of numbers, the quantity obtained when the numerator is divided by the denominator. Thus 3⁄4 represents three divided by four, in decimals 0.75, as a percentage 75%. The three equal parts of the cake are 75% of the whole cake.
In higher mathematics, a fraction is viewed as an element of a field of fractions.
Historically, any number that did not represent a whole was called a "fraction". The numbers that we now call "decimals" were originally called "decimal fractions"; the numbers we now call "fractions" were called "vulgar fractions", the word "vulgar" meaning "commonplace".
The numerator and denominator of a fraction may be separated by a slanting line called a solidus or slash, for example 3⁄4, or may be written above and below a horizontal line called a vinculum, thus:
.
The solidus may be omitted from the slanting style (e.g. 34) where space is short and the meaning is obvious from context, for example in road signs in some countries.
Fractions are used most often when the denominator is relatively small. It is easier to multiply 32 by 3⁄16 than to do the same calculation using the fraction's decimal equivalent (0.1875). It is also more accurate to multiply 15 by 1⁄3, for example, than it is to multiply 15 by a decimal approximation of one third. To change a fraction to a decimal, divide the numerator by the denominator, and round off to the desired accuracy.
Fractions are also rational numbers, in which means that the denominator and the numerator are integers.
The word is also used in related expressions, such as continued fraction and algebraic fraction—see Special cases below.
Forms of fractions
Vulgar, proper, and improper fractions
A vulgar fraction (or common fraction) is a rational number written as one integer (the numerator) divided by a non-zero integer (the denominator), for example,
,
and
.
A vulgar fraction is said to be a proper fraction if the absolute value of the numerator is less than the absolute value of the denominator—that is, if the absolute value of the entire fraction is less than 1 (e.g.
)—but an improper fraction (US, British or Australian) or top-heavy fraction (British only) if the absolute value of the numerator is greater than or equal to the absolute value of the denominator (e.g.
).
Mixed numbers
A mixed number is the sum of a whole number and a proper fraction. For instance, in referring to two entire cakes and three quarters of another cake, the whole and fractional parts of the number are written next to each other: 2 +
2
.
An improper fraction can be thought of as another way to write a mixed number; in the "2
" example above, imagine that the two entire cakes are each divided into quarters. Each entire cake contributes
to the total, so
is another way of writing 2
.
A mixed number can be converted to an improper fraction in three steps:
- Multiply the whole part by the denominator of the fractional part.
- Add the numerator of the fractional part to that product.
- The resulting sum is the numerator of the new (improper) fraction, and the new denominator is the same as that of the fractional part of the mixed number.
Similarly, an improper fraction can be converted to a mixed number:
- Divide the numerator by the denominator.
- The quotient (without remainder) becomes the whole part and the remainder becomes the numerator of the fractional part.
- The new denominator is the same as that of the original improper fraction.
Equivalent fractions
Multiplying the numerator and denominator of a fraction by the same (non-zero) number results in a new fraction that is said to be equivalent to the original fraction. The word equivalent means that the two fractions have the same value. This is true because for any number n, multiplying by
is really multiplying by one, and any number multiplied by one has the same value as the original number. For instance, consider the fraction
: when the numerator and denominator are both multiplied by 2, the result is
, which has the same value (0.5) as
. To picture this visually, imagine cutting the example cake into four pieces; two of the pieces together (
) make up half the cake (
).
For example:
,
,
and
are all equivalent fractions.
Dividing the numerator and denominator of a fraction by the same non-zero number will also yield an equivalent fraction. this is called reducing or simplifying the fraction. A fraction in which the numerator and denominator have no factors in common (other than 1) is said to be irreducible or in its lowest or simplest terms. For instance,
is not in lowest terms because both 3 and 9 can be exactly divided by 3. In contrast,
is in lowest terms—the only number that is a factor of both 3 and 8 is 1.
Reciprocals and the "invisible denominator"
The reciprocal of a fraction is another fraction with the numerator and denominator reversed. The reciprocal of
, for instance, is
.
Because any number divided by 1 results in the same number, it is possible to write any whole number as a fraction by using 1 as the denominator: 17 =
(1 is sometimes referred to as the "invisible denominator"). Therefore, except for zero, every fraction or whole number has a reciprocal. The reciprocal of 17 would be
.
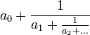
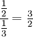
Complex fractions
A complex fraction (or compound fraction) is a fraction in which the numerator and denominator contain a fraction. For example,
is a complex fraction. To simplify a complex fraction, divide the numerator by the denominator, as with any other fraction:
.
Arithmetic with fractions
Fractions, like whole numbers, obey the commutative, associative, and distributive laws, and the rule against division by zero.
Comparing fractions
Comparing fractions with the same denominator only requires comparing the numerators.
as 3 > 2.
In order to compare fractions with different denominators, these are converted to a common denominator: to compare
and
, these are converted to
and
, where bd is the product of the denominators, and then the numerators ad and bc are compared.
?
gives 
This method is also known as the "cross-multiply" method which can be explained by multiplying the top and bottom numbers crosswise. The product of the denominators is used as a common (but not necessary the least common) denominator.
? 
Multiply 17 by 5 and 18 by 4. Place the products of the equations on top of the denominators. The highest number identifies the largest fraction. Therefore
as 17 × 5 = 85 is greater than 18 × 4 = 72.
In order to work with smaller numbers, the least common denominator is used instead of the product. The fractions are converted to fractions with the least common denominator, and then the numerators are compared.
?
gives 
Some standards-based mathematics texts such as Connected Mathematics omit instruction of least common denominators entirely. That text presents the use of "fraction strips" (a strip of paper folded into fractions) or "benchmark fractions" such as one-half against which a fraction such as two-fifths may be compared. While such methods may be useful to build conceptual understanding, they are controversial as they are not effective beyond the elementary school level, and such texts are often supplemented by teachers with the standard method.
Addition
The first rule of addition is that only like quantities can be added; for example, various quantities of quarters. Unlike quantities, such as adding thirds to quarters, must first be converted to like quantities as described below:
Adding like quantities
Imagine a pocket containing two quarters, and another pocket containing three quarters; in total, there are five quarters. Since four quarters is equivalent to one (dollar), this can be represented as follows:
.
Adding unlike quantities
To add fractions containing unlike quantities (e.g. quarters and thirds), it is necessary to convert all amounts to like quantities. It is easy to work out the type of fraction to convert to; simply multiply together the two denominators (bottom number) of each fraction.
For adding quarters to thirds, both types of fraction are converted to
(twelfths).
Consider adding the following two quantities:
First, convert
into twelfths by multiplying both the numerator and denominator by three:
. Note that
is equivalent to 1, which shows that
is equivalent to the resulting 
Secondly, convert
into twelfths by multiplying both the numerator and denominator by four:
. Note that
is equivalent to 1, which shows that
is equivalent to the resulting 
Now it can be seen that:
is equivalent to:
This method always works, but sometimes there is a smaller denominator that can be used (a least common denominator). For example, to add
and
the denominator 48 can be used (the product of 4 and 12), but the smaller denominator 12 may also be used, being the least common multiple of 4 and 12.
Subtraction
The process for subtracting fractions is, in essence, the same as that of adding them: find a common denominator, and change each fraction to an equivalent fraction with the chosen common denominator. The resulting fraction will have that denominator, and its numerator will be the result of subtracting the numerators of the original fractions. For instance,
Multiplication
When multiplying or dividing, it may be possible to choose to cancel down crosswise multiples that share a common factor. For example:
2 1⁄7 1 X 7 1⁄8 4 = 1⁄1 X 1⁄4. The following will explain how to complete this equation.
Multiplication by whole numbers
Considering the cake example above, if you have a quarter of the cake and you multiply the amount by three, then you end up with three quarters. We can write this numerically as follows:
As another example, suppose that five people work for three hours out of a seven hour day (ie. for three sevenths of the work day). In total, they will have worked for 15 hours (5 x 3 hours each), or 15 sevenths of a day. Since 7 sevenths of a day is a whole day and 14 sevenths is two days, then in total, they will have worked for 2 days and a seventh of a day. Numerically:
Multiplication by fractions
Considering the cake example above, if you have a quarter of the cake and you multiply the amount by a third, then you end up with a twelfth of the cake. In other words, a third of a quarter (or a third times a quarter) is a twelfth. Why? Because we are splitting each quarter into three pieces, and four quarters times three makes 12 parts (or twelfths). We can write this numerically as follows:
As another example, suppose that five people do an equal amount work that totals three hours out of a seven hour day. Each person will have done a fifth of the work, so they will have worked for a fifth of three sevenths of a day. Numerically:
General rule
You may have noticed that when we multiply fractions, we multiply the two numerators (the top numbers) to make the new numerator, and multiply the two denominators (the bottom numbers) to make the new denominator. For example:
Multiplication by mixed numbers
When multiplying mixed numbers, it's best to convert the whole part of the mixed number into a fraction. For example:
In other words,
is the same as
, making 11 quarters in total (because 2 cakes, each split into quarters makes 8 quarters total) and 33 quarters is
, since 8 cakes, each made of quarters, is 32 quarters in total.
Division
To divide by a fraction, simply multiply by the reciprocal of that fraction.
To understand why this works, consider the following:
- Question, does
- Given/Accepted
-
- I. Any number divided by itself is one (e.g.
)- II. When a number is multiplied by one it does not change (e.g.
)- III. If two fractions have common denominators, then the numerators may be divided to find the quotient (e.g.
) - II. When a number is multiplied by one it does not change (e.g.
- I. Any number divided by itself is one (e.g.
- Proof
-
- 1.
, Problem- 2.
, Multiplied the first fraction by
and the second fraction by
, which is the same as multiplying by one, and as accepted above (I & II) does not change the value of the fraction - 2.
- Note: These values of one were chosen so the fractions would have a common denominator; bd is the common denominator.
- 3.
, From what was given in (III)- 4.
, Changed notation- 5.
, Can be seen- 6.
, Solution - 4.
- 1.
About 4,000 years ago Egyptians divided with fractions using slightly different methods, using least common multiples with unit fractions.
Converting repeating decimals to fractions
Decimal numbers, while arguably more useful to work with when performing calculations, lack the same kind of precision that regular fractions (as they are explained in this article) have. Sometimes an infinite number of decimals is required to convey the same kind of precision. Thus, it is often useful to convert repeating decimals into fractions.
For most repeating patterns, a simple division of the pattern by the same number of nines as numbers it has will suffice. For example (the pattern is highlighted in bold):
- 0.555… = 5/9
- 0.264264264… = 264/999
- 0.629162916291… = 6291/9999
- 0.264264264… = 264/999
In case zeros precede the pattern, the nines are suffixed by the same number of zeros:
- 0.0555… = 5/90
- 0.000392392392… = 392/999000
- 0.00121212… = 12/9900
- 0.000392392392… = 392/999000
In case a non-repeating set of decimals precede the pattern (such as 0.1523987987987…), we must equate it as the sum of the non-repeating and repeating parts:
- 0.1523 + 0.0000987987987…
Then, convert both of these to fractions. Since the first part is not repeating, it is not converted according to the pattern given above:
- 1523/10000 + 987/9990000
We add these fractions by expressing both with a common divisor...
- 1521477/9990000 + 987/9990000
And add them.
- 1522464/9990000
Finally, we simplify it:
- 31718/208125
Special cases
A unit fraction is a vulgar fraction with a numerator of 1, e.g.
.
An Egyptian fraction is the sum of distinct unit fractions, e.g.
.
A dyadic fraction is a vulgar fraction in which the denominator is a power of two, e.g.
.
An expression that has the form of a fraction but actually represents division by or into an irrational number is sometimes called an "irrational fraction". A common example is
, the radian measure of a right angle.
Rational numbers are the quotient field of integers. Rational functions are functions evaluated in the form of a fraction, where the numerator and denominator are polynomials. These rational expressions are the quotient field of the polynomials (over some integral domain).
A continued fraction is an expression such as
, where the ai are integers. This is not an element of a quotient field.
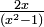
The term partial fraction is used in algebra, when decomposing rational expressions (a fraction with an algebraic expression in the denominator). The goal is to write the rational expression as the sum of other rational expressions with denominators of lesser degree. For example, the rational expression
can be rewritten as the sum of two fractions:
and
.
Pedagogical tools
In primary schools, fractions have been demonstrated through Cuisenaire rods.
Parents of children learning fractions should also be aware that arithmetic is often taught very differently with reform mathematics. Many texts do not give instruction of standard methods which may use the least common denominator, to compare or add fractions. Some introduce newly developed concepts such as "fraction strips" and benchmark fractions (1/2, 1/4, 3/4 and 1/10) which are unfamiliar to parents or mathematicians. Some are concerned that such methods will not prepare students for mathematics in college or high school. If this is the case, parents may ask their schools to supplement their children's learning with standard methods or switch to texts which give instruction in traditional methods. Fraction arithmetic is normally taught and mastered from late elementary to middle or junior high school. However, some texts such as the Connected Mathematics do not discuss division of fractions at all even through 8th grade in CMP
See also the external links below.
History
The earliest known use of decimal fractions is ca. 2800 BC as Ancient Indus Valley units of measurement. The Egyptians used Egyptian fractions ca. 1000 BC. The Greeks used unit fractions and later continued fractions and followers of the Greek philosopher Pythagoras, ca. 530 BC, discovered that the square root of two cannot be expressed as a fraction. In 150 BC Jain mathematicians in India wrote the "Sthananga Sutra", which contains work on the theory of numbers, arithmetical operations, operations with fractions.


of a cake is to be added to
of a cake, the pieces need to be converted into comparable quantities, such as cake-eighths or cake-quarters.











