Kepler's laws of planetary motion
2008/9 Schools Wikipedia Selection. Related subjects: Mathematics

In astronomy, Kepler's Laws of Planetary Motion are three mathematical laws that describe the motion of planets in the Solar System. German mathematician and astronomer Johannes Kepler ( 1571– 1630) discovered them.
Kepler studied the observations of the legendarily precise Danish astronomer Tycho Brahe. Around 1605, Kepler found that Brahe's observations of the planets' positions followed three relatively simple mathematical laws.
Kepler's laws challenged Aristotelean and Ptolemaic astronomy and physics. His assertion that the Earth moved, his use of ellipses rather than epicycles, and his proof that the planets' speeds varied, changed astronomy and physics. Nevertheless, the physical explanation of the planets' behaviour came almost a century later, when Isaac Newton was able to deduce Kepler's laws from Newton's own laws of motion and his law of universal gravitation, using his invention of calculus. Other models of gravitation would give empirically false results.
Kepler's three laws are:
- The orbit of every planet is an ellipse with the sun at one of the foci. An ellipse is characterized by its two focal points; see illustration. Thus, Kepler rejected the ancient Aristotelean, Ptolemaic,and Copernican belief in circular motion.
- A line joining a planet and the sun sweeps out equal areas during equal intervals of time as the planet travels along its orbit. This means that the planet travels faster while close to the sun and slows down when it is farther from the sun. With his law, Kepler destroyed the Aristotelean astronomical theory that planets have uniform velocity.
- The squares of the orbital periods of planets are directly proportional to the cubes of the semi-major axes (the "half-length" of the ellipse) of their orbits. This means not only that larger orbits have longer periods, but also that the speed of a planet in a larger orbit is lower than in a smaller orbit.
Kepler's laws are formulated below, and are derived from Newton's laws, using heliocentric polar coordinates
. However, Kepler's laws can alternatively be formulated and derived using Cartesian coordinates.
Mathematical description
First law
The first law says: "The orbit of every planet is an ellipse with the sun at one of the foci."
The mathematics of the ellipse is as follows.
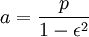
The equation is
where (r,θ) are heliocentric polar coordinates for the planet, p is the semi-latus rectum, and ε is the eccentricity, which is greater than or equal to zero, and less than one.
For θ=0 the planet is at the perihelion at minimum distance:
for θ=90°: r=p, and for θ=180° the planet is at the aphelion at maximum distance:
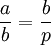
The semi-major axis is the arithmetic mean between rmin and rmax:
The semi-minor axis is the geometric mean between rmin and rmax:
and it is also the geometric mean between the semimajor axis and the semi latus rectum:
Second law
The second law: "A line joining a planet and the sun sweeps out equal areas during equal intervals of time."
This is also known as the law of equal areas. It is a direct consequence of the law of conservation of angular momentum; see the derivation below.
Suppose a planet takes one day to travel from point A to B. The lines from the Sun to A and B, together with the planet orbit, will define a (roughly triangular) area. This same amount of area will be formed every day regardless of where in its orbit the planet is. This means that the planet moves faster when it is closer to the sun.
This is because the sun's gravity accelerates the planet as it falls toward the sun, and decelerates it on the way back out, but Kepler did not know that reason.
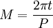
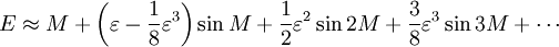
The two laws permitted Kepler to calculate the position, (r,θ), of the planet, based on the time since perihelion, t, and the orbital period, P. The calculation is done in four steps.
- 1. Compute the mean anomaly M from the formula
- 2. Compute the eccentric anomaly E by numerically solving Kepler's equation:
- 3. Compute the true anomaly θ by the equation:
- 4. Compute the heliocentric distance r from the first law:
The proof of this procedure is shown below.
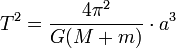
Third law
The third law : "The squares of the orbital periods of planets are directly proportional to the cubes of the semi-major axis of the orbits." Thus, not only does the length of the orbit increase with distance, the orbital speed decreases, so that the increase of the orbital period is more than proportional.

- P = orbital period of planet
- a = semimajor axis of orbit
- P = orbital period of planet
So the expression P2·a–3 has the same value for all planets in the Solar System as it has for Earth. When certain units are chosen, namely P is measured in sidereal years and a in astronomical units, P2·a–3 has the value 1 for all planets in the Solar System.
In SI units:
.
The law, when applied to circular orbits where the acceleration is proportional to a·P−2, shows that the acceleration is proportional to a·a−3 = a−2, in accordance with Newton's law of gravitation.
The general equation, which Kepler did not know, is
where G is the gravitational constant, M is the mass of the sun, and m is the mass of planet. The latter appears in the equation since the equation of motion involves the reduced mass. Note that P is time per orbit and P/2π is time per radian.
See the actual figures: attributes of major planets.
This law is also known as the harmonic law.
Position as a function of time
The Keplerian problem assumes an elliptical orbit and the four points:
- s the sun (at one focus of ellipse);
- z the perihelion
- c the centre of the ellipse
- p the planet
and
distance from centre to perihelion, the semimajor axis,
the eccentricity,
the semiminor axis,
the distance from sun to planet.
and the angle
the planet as seen from the sun, the true anomaly.
The problem is to compute the polar coordinates (r,ν) of the planet from the time since perihelion, t.
It is solved in steps. Kepler began by adding the orbit's auxiliary circle (that with the major axis as a diameter) and defined these points:
- x is the projection of the planet to the auxiliary circle; then the area

- y is a point on the auxiliary circle such that the area

and
, y as seen from the centre, the mean anomaly.
The area of the circular sector
, and the area swept since perihelion,
,
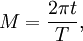
is by Kepler's second law proportional to time since perihelion. So the mean anomaly, M, is proportional to time since perihelion, t.
where T is the orbital period.
The mean anomaly M is first computed. The goal is to compute the true anomaly ν. The function ν=f(M) is, however, not elementary. Kepler's solution is to use
, x as seen from the centre, the eccentric anomaly
as an intermediate variable, and first compute E as a function of M by solving Kepler's equation below, and then compute the true anomaly ν from the eccentric anomaly E. Here are the details.
Division by a²/2 gives Kepler's equation
.
The catch is that Kepler's equation cannot be rearranged to isolate E. The function E=f(M) is not an elementary formula. Kepler's equation is solved either iteratively by a root-finding algorithm or, as derived in the article on eccentric anomaly, by an infinite series
For the small ε typical of the planets (except Pluto), such series are quite accurate with only a few terms.
Having computed the eccentric anomaly E from Kepler's equation, the next step is to calculate the true anomaly ν from the eccentric anomaly E.
Note from the geometry of the problem that
Dividing by a and inserting from Kepler's first law
to get
The result is a usable relationship between the eccentric anomaly E and the true anomaly ν.
A computationally more convenient form follows by substituting into the trigonometric identity:
Get
Multiplying by (1+ε)/(1−ε) and taking the square root gives the result
We have now completed the third step in the connection between time and position in the orbit.
One could even develop a series computing ν directly from M.
The fourth step is to compute the heliocentric distance r from the true anomaly ν by Kepler's first law:
Derivation from Newton's laws
Kepler's laws are about the motion of the planets around the sun, while Newton's laws more generally are about the motion of point particles attracting each other by the force of gravitation. In the special case where there are only two particles, and one of them is much lighter than the other, and the distance between the particles remains limited, then the lighter particle moves around the heavy particle as a planet around the sun according to Kepler's laws, as shown below. Newton's laws however also admit other solutions, where the trajectory of the lighter particle is a parabola or a hyperbola. These solutions show that there is a limitation to the applicability of Kepler's first law, which states that the trajectory will always be an ellipse. In the case where one particle is not much lighter than the other, it turns out that each particle moves around their common centre of mass, so that the general two body problem is reduced to the special case where one particle is much lighter than the other. While Kepler's laws are expressed either in geometrical language or as equations connecting the coordinates of the planet and the time variable with the orbital elements, Newton's second law is a differential equation. So the derivations below involve the art of solving differential equations. The second law is derived first, as the derivation of the first law depends on the derivation of the second law.
Deriving Kepler's second law
Newton's law of gravitation says that "every object in the universe attracts every other object along a line of the centers of the objects, proportional to each object's mass, and inversely proportional to the square of the distance between the objects," and his second law of motion says that "the mass times the acceleration is equal to the force." So the mass of the planet times the acceleration vector of the planet equals the mass of the sun times the mass of the planet, divided by the square of the distance, times minus the radial unit vector, times a constant of proportionality. This is written:
where a dot on top of the variable signifies differentiation with respect to time, and the second dot indicates the second derivative.
Assume that the planet is so much lighter than the sun that the acceleration of the sun can be neglected.
where
is the tangential unit vector, and
So the position vector
is differentiated twice to give the velocity vector and the acceleration vector
Note that for constant distance,
, the planet is subject to the centripetal acceleration,
, and for constant angular speed,
, the planet is subject to the coriolis acceleration,
.
Inserting the acceleration vector into Newton's laws, and dividing by m, gives the vector equation of motion
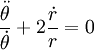
Equating component, we get the two ordinary differential equations of motion, one for the radial acceleration and one for the tangential acceleration:
In order to derive Kepler's second law only the tangential acceleration equation is needed. Divide it by 
and integrate:
where
is a constant of integration, and exponentiate:
This says that the specific angular momentum
is a constant of motion, even if both the distance
and the angular speed
vary.
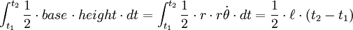
The area swept out from time t1 to time t2,
depends only on the duration t2−t1. This is Kepler's second law.
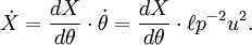
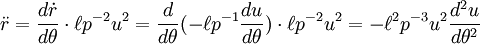
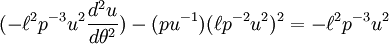
Deriving Kepler's first law
The expression
has the dimension of length and is used to make the equations of motion dimensionless. We define
and get
and
Differentiation with respect to time is transformed into differentiation with respect to angle:
Differentiate
twice:
Substitute into the radial equation of motion
and get
Divide by
to get a simple non-homogeneous linear differential equation for the orbit of the planet:
An obvious solution to this equation is the circular orbit
Other solutions are obtained by adding solutions to the homogeneous linear differential equation with constant coefficients
These solutions are
where
and
are arbitrary constants of integration. So the result is
Choosing the axis of the coordinate system such that
, and inserting
, gives:
If
this is Kepler's first law.
Kepler's third law
Newton used the third law as one of the pieces of evidence used to build the conceptual and mathematical framework of his Law of Gravitation. If we take Newton's laws of motion as given, and consider a hypothetical planet that happens to be in a perfectly circular orbit of radius r, then we have F = mv2 / r for the sun's force on the planet. The velocity is proportional to r/T, which by Kepler's third law varies as one over the square root of r. Substituting this into the equation for the force, we find that the gravitational force is proportional to one over r squared. Newton's actual historical chain of reasoning is not known with certainty, because in his writing he tended to erase any traces of how he had reached his conclusions. Reversing the direction of reasoning, we can consider this as a proof of Kepler's third law based on Newton's law of gravity, and taking care of the proportionality factors that were neglected in the argument above, we have:
where:
- T = planet's sidereal period
- r = radius of the planet's circular orbit
- G = the gravitational constant
- M = mass of the sun
The same arguments can be applied to any object orbiting any other object. This discussion implicitly assumed that the planet orbits around the stationary sun, although in reality both the planet and the sun revolve around their common centre of mass. Newton recognized this, and modified this third law, noting that the period is also affected by the orbiting body's mass. However typically the central body is so much more massive that the orbiting body's mass may be ignored. Newton also proved that in the case of an elliptical orbit, the semimajor axis could be substituted for the radius. The most general result is:
where:
- T = object's sidereal period
- a = object's semimajor axis
- G = the gravitational constant = 6.67 × 10−11 N • m²/kg²
- M = mass of one object
- m = mass of the other object
For objects orbiting the sun, it can be convenient to use units of years, AU, and solar masses, so that G, 4π² and the various conversion factors cancel out. Also with m<<M we can set m+M = M, so we have simply T2 = a3. Note that the values of G and planetary masses are not known with good accuracy; however, the products GM (the Keplerian attraction) are known to extremely high precision.
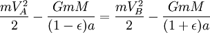
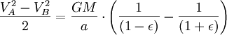
Define point A to be the periapsis, and point B as the apoapsis of the planet when orbiting the sun.
Kepler's second law states that the orbiting body will sweep out equal areas in equal quantities of time. If we now look at a very small periods of time at the moments when the planet is at points A and B, then we can approximate the area swept out as a triangle with an altitude equal to the distance between the planet and the sun, and the base equal to the time times the speed of the planet.
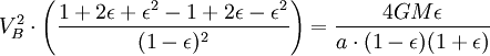
Using the law of conservation of energy for the total energy of the planet at points A and B,
Now that we have VB, we can find the rate at which the planet is sweeping out area in the ellipse. This rate remains constant, so we can derive it from any point we want, specifically from point B.
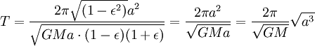
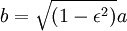
However, the total area of the ellipse is equal to
. (That's the same as πab, because
). The time the planet take out to sweep out the entire area of the ellipse equals the ellipse's area, so,
However, if the mass m is not negligible in relation to M, then the planet will orbit the sun with the exact same velocity and position as a very small body orbiting an object of mass M + m (see reduced mass). To integrate that in the above formula, M must be replaced with M + m, to give
Q.E.D.









































































