Volume
2008/9 Schools Wikipedia Selection. Related subjects: Mathematics
The volume of any solid, liquid, or gas is how much three- dimensional space it occupies, often quantified numerically. One-dimensional figures (such as lines) and two-dimensional shapes (such as squares) are assigned zero volume in the three-dimensional space.
Volumes of straight-edged and circular shapes are calculated using arithmetic formulae. Volumes of other curved shapes are calculated using integral calculus, by approximating the given body with a large amount of small cubes or concentric cylindrical shells, and adding the individual volumes of those shapes. The volume of irregularly shaped objects can be determined by displacement. If an irregularly shaped object is less dense than the fluid, you will need a weight to attach to the floating object. A sufficient weight will cause the object to sink. The final volume of the unknown object can be found by subtracting the volume of the attached heavy object and the total fluid volume displaced.
The generalization of volume to arbitrarily many dimensions is called content. In differential geometry, volume is expressed by means of the volume form.
Volume and capacity are sometimes distinguished, with capacity being used for how much a container can hold (with contents measured commonly in litres or its derived units), and volume being how much space an object displaces (commonly measured in cubic metres or its derived units). The volume of a dispersed gas is the capacity of its container. If more gas is added to a closed container, the container either expands (as in a balloon) or the pressure inside the container increases.
Volume and capacity are also distinguished in a capacity management setting, where capacity is defined as volume over a specified time period.
Volume is a fundamental parameter in thermodynamics and it is conjugate to pressure.
| Conjugate variables of thermodynamics |
|
|---|---|
| Pressure | Volume |
| ( Stress) | ( Strain) |
| Temperature | Entropy |
| Chem. potential | Particle no. |
Volume formulae
| Common equations for volume: | ||
|---|---|---|
| Shape | Equation | Variables |
| A cube: | s3 | s = length of any side |
| A rectangular prism: | ![]() |
l = length, w = width, h = height |
| A cylinder (circular prism): | ![]() |
r = radius of circular face, h = height |
| Any prism that has a constant cross sectional area along the height**: | ![]() |
A = area of the base, h = height |
| A sphere: | ![]() |
r = radius of sphere which is the integral of the Surface Area of a sphere |
| An ellipsoid: | ![]() |
a, b, c = semi-axes of ellipsoid |
| A pyramid: | ![]() |
A = area of the base, h = height of pyramid |
| A cone (circular-based pyramid): | ![]() |
r = radius of circle at base, h = distance from base to tip |
| Any figure (calculus required) | ![]() |
h = any dimension of the figure, A(h) = area of the cross-sections perpendicular to h described as a function of the position along h. This will work for any figure if its cross-sectional area can be determined from h (no matter if the prism is slanted or the cross-sections change shape). ^* |
(The units of volume depend on the units of length - if the lengths are in meters, the volume will be in cubic meters, etc)
The volume of a parallelepiped is the absolute value of the scalar triple product of the subtending vectors, or equivalently the absolute value of the determinant of the corresponding matrix.
The volume of any tetrahedron, given its vertices a, b, c and d, is (1/6)·|det(a−b, b−c, c−d)|, or any other combination of pairs of vertices that form a simply connected graph.
Volume measures: UK
The UK is undergoing metrication and is increasingly using the SI metric system's units of volume, i.e. cubic meter and litre. However, some former units of volume are still in varying degrees of usage:
Imperial units of volume:
- UK fluid ounce, about 28.4 mL (this equals the volume of an avoirdupois ounce of water under certain conditions)
- UK pint = 20 fluid ounces, or about 568 mL
- UK quart = 40 ounces or two pints1.137 L
- UK gallon = 4 quarts, or exactly 4.546 09 L
The quart is now obsolete and the fluid ounce extremely rare. The gallon is only used for transportation uses, (it is illegal for petrol and diesel to be sold by the gallon). The pint is the only Imperial unit that is in everyday use, for the sale of draught beer and cider (bottled and canned beer is mainly sold in SI units) and for milk (this too is increasingly being sold in SI units, mainly Litres).
Volume measures: cooking
Traditional cooking measures for volume also include:
- teaspoon = 1/6 U.S. fluid ounce (about 4.929 mL)
- teaspoon = 1/6 Imperial fluid ounce (about 4.736 mL)
- teaspoon = 5 mL (metric)
- tablespoon = ½ U.S. fluid ounce or 3 teaspoons (about 14.79 mL)
- tablespoon = ½ Imperial fluid ounce or 3 teaspoons (about 14.21 mL)
- tablespoon = 15 mL or 3 teaspoons (metric)
- tablespoon = 5 fluidrams (about 17.76 mL) (British)
- cup = 8 U.S. fluid ounces or ½ U.S. liquid pint (about 237 mL)
- cup = 8 Imperial fluid ounces or ½ fluid pint (about 227 mL)
- cup = 250 mL (metric)
Relationship to density
The density of an object is defined as mass per unit volume.
The term specific volume is used for volume divided by mass. This is the reciprocal of the mass density, expressed in units such as cubic meters per kilogram (m³·kg-1).
Volume formula derivation
| Shape | Volume formula derivation |
|---|---|
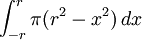
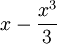
| Sphere | The volume of a sphere is the integral of infinitesimal circular slabs of width dx. The calculation for the volume of a sphere with centre 0 and radius r is as follows.
|











, so that the integral boundaries become -1 and +1, we get 

=
=