Introduction to special relativity
2008/9 Schools Wikipedia Selection. Related subjects: Mathematics; Physics
Special relativity is a fundamental physics theory about space and time that was developed by Albert Einstein in 1905 as a modification of Newtonian physics. It was created to deal with some pressing theoretical and experimental issues in the physics of the time involving light and electrodynamics (see History of special relativity for a detailed account). The predictions of special relativity correspond closely to those of Newtonian physics at speeds which are low in comparison to that of light, but diverge rapidly for speeds which are a significant fraction of the speed of light. Special relativity has been experimentally tested on numerous occasions since its inception, and its predictions have been verified by those tests.
Einstein postulated that the speed of light is the same for all observers, irrespective of their motion relative to the light source. This was in total contradiction to classical mechanics, which had been accepted for centuries. Einstein's approach was based on thought experiments and calculations. In 1908, Hermann Minkowski reformulated the theory based on different postulates of a more geometrical nature. His approach depended on the existence of certain inter-relations between space and time, which were considered completely separate in classical physics. This reformulation set the stage for further developments of physics.
Special relativity makes numerous predictions which are incompatible with Newtonian physics (and everyday intuition). The first such prediction described by Einstein is called the relativity of simultaneity, under which observers who are in motion with respect to each other may disagree on whether two events occurred at the same time or one occurred before the other. The other major predictions of special relativity are time dilation (under which a moving clock ticks more slowly than when it is at rest with respect to the observer), length contraction (under which a moving rod may be found to be shorter than when it is at rest with respect to the observer), and the equivalence of mass and energy (written as E=mc2). Special relativity predicts a non-linear velocity addition formula which prevents speeds greater than that of light from being observed. Special relativity also explains why Maxwell's equations of electromagnetism are correct in any frame of reference, and how electric field and magnetic field are two aspects of the same thing.
Special relativity has been tested in many ways, and so far has been proved to be far more accurate than Newtonian mechanics. The most famous of these tests is the Michelson-Morley experiment, the failure of which was one of the things which motivated the creation of special relativity. Other significant tests are the Fizeau experiment (which was first done decades before special relativity was proposed), the detection of the transverse Doppler effect, and the Haefele-Keating experiment. Today, scientists are so comfortable with the idea that the speed of light is always the same that the meter is now defined as being the distance traveled by light in 1/299,792,458th of a second. This means that the speed of light is now defined as being 299,792,458 m/s.
Invariance of length: the Euclidean picture
In special relativity, space and time are joined into a unified four-dimensional continuum called spacetime. To gain a sense of what spacetime is like, we must first look at the Euclidean space of Newtonian physics.
This approach to the theory of special relativity begins with the concept of " length". In everyday experience, it seems that the length of objects remains the same no matter how they are rotated or moved from place to place; as a result the simple length of an object doesn't appear to change or is " invariant". However, as is shown in the illustrations below, what is actually being suggested is that length seems to be invariant in a three-dimensional coordinate system.
The length of a line in a two-dimensional Cartesian coordinate system is given by Pythagoras' theorem:
One of the basic theorems of vector algebra is that the length of a vector does not change when it is rotated. However, a closer inspection tells us that this is only true if we consider rotations confined to the plane. If we introduce rotation in the third dimension, then we can tilt the line out of the plane. In this case the projection of the line on the plane will get shorter. Does this mean length is not invariant? Obviously not. The world is three-dimensional and in a 3D Cartesian coordinate system the length is given by the three-dimensional version of Pythagoras's theorem:
This is invariant under all rotations. The apparent violation of invariance of length only happened because we were 'missing' a dimension. It seems that, provided all the directions in which an object can be tilted or arranged are represented within a coordinate system, the length of an object does not change under rotations. A 3-dimensional coordinate system is enough in classical mechanics because time is assumed absolute and independent of space in that context. It can be considered separately.
Note that invariance of length is not ordinarily considered a dynamic principle, not even a theorem. It is simply a statement about the fundamental nature of space itself. Space as we ordinarily conceive it is called a three-dimensional Euclidean space, because its geometrical structure is described by the principles of Euclidean geometry. The formula for distance between two points is a fundamental property of a Euclidean space, it is called the Euclidean metric tensor (or simply the Euclidean metric). In general, distance formulas are called metric tensors.
Note that rotations are fundamentally related to the concept of length. In fact, one may define length or distance to be that which stays the same (is invariant) under rotations, or define rotations to be that which keep the length invariant. Given any one, it is possible to find the other. If we know the distance formula, we can find out the formula for transforming coordinates in a rotation. If, on the other hand, we have the formula for rotations then we can find out the distance formula.
The Minkowski formulation: introduction of spacetime
After Einstein derived special relativity formally from the (at first sight counter intuitive) assumption that the speed of light is the same to all observers, Minkowski built on mathematical approaches used in non-euclidean geometry and on the mathematical work of Lorentz and Poincaré, and showed in 1908 that Einstein's new theory could also be explained by replacing the concept of a separate space and time with a four-dimensional continuum called spacetime. This was a groundbreaking concept, and Roger Penrose has said that relativity was not truly complete until Minkowski reformulated Einstein's work.
The concept of a four-dimensional space is hard to visualise. It may help at the beginning to think simply in terms of coordinates. In three-dimensional space, one needs three real numbers to refer to a point. In the Minkowski space, one needs four real numbers (three space coordinates and one time coordinate) to refer to a point at a particular instant of time. This point at a particular instant of time, specified by the four coordinates, is called an event. The distance between two different events is called the spacetime interval.
A path through the four-dimensional spacetime, usually called Minkowski space, is called a world line. Since it specifies both position and time, a particle having a known world line has a completely determined trajectory and velocity. This is just like graphing the displacement of a particle moving in a straight line against the time elapsed. The curve contains the complete motional information of the particle.
In the same way as the measurement of distance in 3D space needed all three coordinates we must include time as well as the three space coordinates when calculating the distance in Minkowski space (henceforth called M). In a sense, the spacetime interval provides a combined estimate of how far two events occur in space as well as the time that elapses between their occurrence.
But there is a problem. Time is related to the space coordinates, but they are not equivalent. Pythagoras's theorem treats all coordinates on an equal footing (see Euclidean space for more details). We can exchange two space coordinates without changing the length, but we can not simply exchange a space coordinate with time, they are fundamentally different. It is an entirely different thing for two events to be separated in space and to be separated in time. Minkowski proposed that the formula for distance needed a change. He found that the correct formula was actually quite simple, differing only by a sign from Pythagoras's theorem:
where c is a constant and t is the time coordinate. Multiplication by c, which has the dimension ms − 1, converts the time to units of length and this constant has the same value as the speed of light. So the spacetime interval between two distinct events is given by
There are two major points to be noted. Firstly, time is being measured in the same units as length by multiplying it by a constant conversion factor. Secondly, and more importantly, the time-coordinate has a different sign than the space coordinates. This means that in the four-dimensional spacetime, one coordinate is different from the others and influences the distance differently. This new 'distance' may be zero or even negative. This new distance formula, called the metric of the spacetime, is at the heart of relativity. This distance formula is called the metric tensor of M. This minus sign means that a lot of our intuition about distances can not be directly carried over into spacetime intervals. For example, the spacetime interval between two events separated both in time and space may be zero (see below). From now on, the terms distance formula and metric tensor will be used interchangeably, as will be the terms Minkowski metric and spacetime interval.
In Minkowski spacetime the spacetime interval is the invariant length, the ordinary 3D length is not required to be invariant. The spacetime interval must stay the same under rotations, but ordinary lengths can change. Just like before, we were missing a dimension. Note that everything this far are merely definitions. We define a four-dimensional mathematical construct which has a special formula for distance, where distance means that which stays the same under rotations (alternatively, one may define a rotation to be that which keeps the distance unchanged).
Now comes the physical part. Rotations in Minkowski space have a different interpretation than ordinary rotations. These rotations correspond to transformations of reference frames. Passing from one reference frame to another corresponds to rotating the Minkowski space. An intuitive justification for this is given below, but mathematically this is a dynamical postulate just like assuming that physical laws must stay the same under Galilean transformations (which seems so intuitive that we don't usually recognise it to be a postulate).
Since by definition rotations must keep the distance same, passing to a different reference frame must keep the spacetime interval between two events unchanged. This requirement can be used to derive an explicit mathematical form for the transformation that must be applied to the laws of physics (compare with the application of Galilean transformations to classical laws) when shifting reference frames. These transformations are called the Lorentz transformations. Just like the Galilean transformations are the mathematical statement of the principle of Galilean relativity in classical mechanics, the Lorentz transformations are the mathematical form of Einstein's principle of relativity. Laws of physics must stay the same under Lorentz transformations. Maxwell's equations and Dirac's equation satisfy this property, and hence they are relativistically correct laws (but classically incorrect, since they don't transform correctly under Galilean transformations).
With the statement of the Minkowski metric, the common name for the distance formula given above, the theoretical foundation of special relativity is complete. The entire basis for special relativity can be summed up by the geometric statement "changes of reference frame correspond to rotations in the 4D Minkowski spacetime, which is defined to have the distance formula given above". The unique dynamical predictions of SR stem from this geometrical property of spacetime. Special relativity may be said to be the physics of Minkowski spacetime. In this case of spacetime, there are six independent rotations to be considered. Three of them are the standard rotations on a plane in two directions of space. The other three are rotations in a plane of both space and time: These rotations correspond to a change of velocity, and are described by the traditional Lorentz transformations.
As has been mentioned before, one can replace distance formulas with rotation formulas. Instead of starting with the invariance of the Minkowski metric as the fundamental property of spacetime, one may state (as was done in classical physics with Galilean relativity) the mathematical form of the Lorentz transformations and require that physical laws be invariant under these transformations. This makes no reference to the geometry of spacetime, but will produce the same result. This was in fact the traditional approach to SR, used originally by Einstein himself. However, this approach is often considered to offer less insight and be more cumbersome than the more natural Minkowski formalism.
Einstein's postulate: the constancy of the speed of light
Einstein's postulate that the speed of light is a constant comes out as a natural consequence of the Minkowski formulation.
Proposition 1:
- When an object is travelling at c in a certain reference frame, the spacetime interval is zero.
Proof:
- The spacetime interval between the origin-event (0,0,0,0) and an event (x, y, z, t) is
- The distance travelled by an object moving at velocity v for t seconds is:
- giving
- Since the velocity v equals c we have
- Hence the spacetime interval between the events of departure and arrival is given by
Proposition 2:
- An object travelling at c in one reference frame is travelling at c in all reference frames.
Proof:
- Let the object move with velocity v when observed from a different reference frame. A change in reference frame corresponds to a rotation in M. Since the spacetime interval must be conserved under rotation, the spacetime interval must be the same in all reference frames. In proposition 1 we showed it to be zero in one reference frame, hence it must be zero in all other reference frames. We get that
- which implies
The paths of light rays have a zero spacetime interval, and hence all observers will obtain the same value for the speed of light. Therefore, when assuming that the universe has four dimensions that are related by Minkowski's formula, the speed of light appears as a constant, and does not need to be assumed (postulated) to be constant as in Einstein's original approach to special relativity.
Clock delays and rod contractions: more on Lorentz transformations
Another consequence of the invariance of the spacetime interval is that clocks will appear to go slower on objects that are moving relative to you. This is very similar to how the 2D projection of a line rotated into the third-dimension appears to get shorter. Length is not conserved simply because we are ignoring one of the dimensions. Let us return to the example of John and Bill.
John observes the length of Bill's spacetime interval as:
whereas Bill doesn't think he has traveled in space, so writes:
The spacetime interval, s2, is invariant. It has the same value for all observers, no matter who measures it or how they are moving in a straight line. This means that Bill's spacetime interval equals John's observation of Bill's spacetime interval so:
and
hence
.
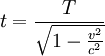
So, if John sees a clock that is at rest in Bill's frame record one second, John will find that his own clock measures between these same ticks an interval t, called coordinate time, which is greater than one second. It is said that clocks in motion slow down, relative to those on observers at rest. This is known as "relativistic time dilation of a moving clock". The time that is measured in the rest frame of the clock (in Bill's frame) is called the proper time of the clock.
In special relativity, therefore, changes in reference frame affect time also. Time is no longer absolute. There is no universally correct clock, time runs at different rates for different observers.
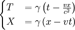
Similarly it can be shown that John will also observe measuring rods at rest on Bill's planet to be shorter in the direction of motion than his own measuring rods. This is a prediction known as "relativistic length contraction of a moving rod". If the length of a rod at rest on Bill's planet is X, then we call this quantity the proper length of the rod. The length x of that same rod as measured on John's planet, is called coordinate length, and given by
.
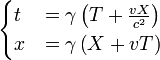
These two equations can be combined to obtain the general form of the Lorentz transformation in one spatial dimension:
or equivalently:
where the Lorentz factor is given by 
The above formulas for clock delays and length contractions are special cases of the general transformation.
Alternatively, these equations for time dilation and length contraction (here obtained from the invariance of the spacetime interval), can be obtained directly from the Lorentz transformation by setting X = 0 for time dilation, meaning that the clock is at rest in Bill's frame, or by setting t = 0 for length contraction, meaning that John must measure the distances to the end points of the moving rod at the same time.
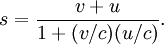
A consequence of the Lorentz transformations is the modified velocity-addition formula:
Simultaneity and clock desynchronisation
The last consequence of Minkowski's spacetime is that clocks will appear to be out of phase with each other along the length of a moving object. This means that if one observer sets up a line of clocks that are all synchronised so they all read the same time, then another observer who is moving along the line at high speed will see the clocks all reading different times. This means that observers who are moving relative to each other see different events as simultaneous. This effect is known as "Relativistic Phase" or the "Relativity of Simultaneity". Relativistic phase is often overlooked by students of special relativity, but if it is understood, then phenomena such as the twin paradox are easier to understand.
Observers have a set of simultaneous events around them that they regard as composing the present instant. The relativity of simultaneity results in observers who are moving relative to each other having different sets of events in their present instant.
The net effect of the four-dimensional universe is that observers who are in motion relative to you seem to have time coordinates that lean over in the direction of motion, and consider things to be simultaneous that are not simultaneous for you. Spatial lengths in the direction of travel are shortened, because they tip upwards and downwards, relative to the time axis in the direction of travel, akin to a rotation out of three-dimensional space.
Great care is needed when interpreting spacetime diagrams. Diagrams present data in two dimensions, and cannot show faithfully how, for instance, a zero length spacetime interval appears.
General relativity: a peek forward
Unlike Newton's laws of motion, relativity is not based upon dynamical postulates. It does not assume anything about motion or forces. Rather, it deals with the fundamental nature of spacetime. It is concerned with describing the geometry of the backdrop on which all dynamical phenomena take place. In a sense therefore, it is a meta-theory, a theory that lays out a structure that all other theories must follow. In truth, Special relativity is only a special case. It assumes that spacetime is flat. That is, it assumes that the structure of Minkowski space and the Minkowski metric tensor is constant throughout. In General relativity, Einstein showed that this is not true. The structure of spacetime is modified by the presence of matter. Specifically, the distance formula given above is no longer generally valid except in space free from mass. However, just like a curved surface can be considered flat in the infinitesimal limit of calculus, a curved spacetime can be considered flat at a small scale. This means that the Minkowski metric written in the differential form is generally valid.
One says that the Minkowski metric is valid locally, but it fails to give a measure of distance over extended distances. It is not valid globally. In fact, in general relativity the global metric itself becomes dependent on the mass distribution and varies through space. The central problem of general relativity is to solve the famous Einstein field equations for a given mass distribution and find the distance formula that applies in that particular case. Minkowski's spacetime formulation was the conceptual stepping stone to general relativity. His fundamentally new outlook allowed not only the development of general relativity, but also to some extent quantum field theories.
Mass-energy equivalence: sunlight and atom bombs
Einstein showed that mass is simply another form of energy. The energy equivalent of rest mass m is m*c^2. This equivalence implies that mass should be interconvertible with other forms of energy. This is the basic principle behind atom bombs and production of energy in nuclear reactors and stars (like the Sun).
Applications
There is a common perception that relativistic physics is not needed in everyday life. This is not true. Many technologies are critically dependent on relativistic physics:
- Cathode ray tubes,
- Particle accelerators,
- Global Positioning System (GPS) - although this really requires the full theory of general relativity
The postulates of Special Relativity
Einstein developed Special Relativity on the basis of two postulates:
- First postulate - Special principle of relativity - The laws of physics are the same in all inertial frames of reference. In other words, there are no privileged inertial frames of reference.
- Second postulate - Invariance of c - The speed of light in a vacuum is independent of the motion of the light source.
Special Relativity can be derived from these postulates, as was done by Einstein in 1905. Einstein's postulates are still applicable in the modern theory but the origin of the postulates is more explicit. It was shown above how the existence of a universally constant velocity (the speed of light) is a consequence of modeling the universe as a particular four dimensional space having certain specific properties. The principle of relativity is a result of Minkowski structure being preserved under Lorentz transformations, which are postulated to be the physical transformations of inertial reference frames.


























