Light
2008/9 Schools Wikipedia Selection. Related subjects: Physics
Light, or visible light, is electromagnetic radiation of a wavelength that is visible to the human eye (about 400–700 nm). In a scientific context, the word light is sometimes used to refer to the entire electromagnetic spectrum. Light is composed of elementary particles called photons.
Three primary properties of light are:
- Intensity;
- Frequency or wavelength and;
- Polarization.
Light can exhibit properties of both waves and particles. This property is referred to as wave-particle duality. The study of light, known as optics, is an important research area in modern physics.
Speed of light
The speed of light in a vacuum is exactly 299,792,458 m/s (about 186,282.397 miles per second). The speed of light depends upon the medium in which it is traveling, and the speed will be lower in a transparent medium. Although commonly called the "velocity of light", technically the word velocity is a vector quantity, having both magnitude and direction. Speed refers only to the magnitude of the velocity vector. This fixed definition of the speed of light is a result of the modern attempt, in physics, to define the basic unit of length in terms of the speed of light, rather than defining the speed of light in terms of a length.
Different physicists have attempted to measure the speed of light throughout history. Galileo attempted to measure the speed of light in the seventeenth century. A good early experiment to measure the speed of light was conducted by Ole Rømer, a Danish physicist, in 1676. Using a telescope, Ole observed the motions of Jupiter and one of its moons, Io. Noting discrepancies in the apparent period of Io's orbit, Rømer calculated that light takes about 18 minutes to traverse the diameter of Earth's orbit. Unfortunately, this was not a value that was known at that time. If Ole had known the diameter of the earth's orbit, he would have calculated a speed of 227,000,000 m/s.
Another, more accurate, measurement of the speed of light was performed in Europe by Hippolyte Fizeau in 1849. Fizeau directed a beam of light at a mirror several kilometers away. A rotating cog wheel was placed in the path of the light beam as it traveled from the source, to the mirror and then returned to its origin. Fizeau found that at a certain rate of rotation, the beam would pass through one gap in the wheel on the way out and the next gap on the way back. Knowing the distance to the mirror, the number of teeth on the wheel, and the rate of rotation, Fizeau was able to calculate the speed of light as 313,000,000 m/s.
Léon Foucault used an experiment which used rotating mirrors to obtain a value of 298,000,000 m/s in 1862. Albert A. Michelson conducted experiments on the speed of light from 1877 until his death in 1931. He refined Foucault's methods in 1926 using improved rotating mirrors to measure the time it took light to make a round trip from Mt. Wilson to Mt. San Antonio in California. The precise measurements yielded a speed of 299,796,000 m/s.
Some scientists were able to bring light to a complete standstill by passing it through a Bose-Einstein Condensate of the element rubidium.
Refraction
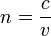
Light in a vacuum propagates at a maximum finite speed, defined above, and denoted by the symbol c. While passing through any other transparent medium, the speed of light slows to some fraction of c. The reduction of the speed of light traveling in a transparent medium is indicated by the refractive index, n, which is defined as:
where v denotes the speed that light travels in the transparent medium.
Note, n = 1 in a vacuum and n > 1 in a transparent medium.
When a beam of light crosses the boundary between a vacuum and another medium, or between two different mediums, the wavelength of the light changes, but the frequency remains constant. If the beam of light is not orthogonal to the boundary, the change in wavelength results in a change in the direction of the beam. This change of direction is known as refraction.
The refraction quality of lenses is frequently used to manipulate light in order to change the apparent size of images. Magnifying glasses, spectacles, contact lenses, microscopes and refracting telescopes are all examples of this manipulation.
Optics
The study of light and the interaction of light and matter is termed optics. The observation and study of optical phenomena such as rainbows and the aurora borealis offer many clues as to the nature of light as well as much enjoyment.
Theories about light
Indian theories
In ancient India, the philosophical schools of Samkhya and Vaisheshika, from around the 6th– 5th century BC, developed theories on light. According to the Samkhya school, light is one of the five fundamental "subtle" elements (tanmatra) out of which emerge the gross elements. The atomicity of these elements is not specifically mentioned and it appears that they were actually taken to be continuous.
On the other hand, the Vaisheshika school gives an atomic theory of the physical world on the non-atomic ground of ether, space and time. (See Indian atomism.) The basic atoms are those of earth (prthivı), water (apas), fire (tejas), and air (vayu), that should not be confused with the ordinary meaning of these terms. These atoms are taken to form binary molecules that combine further to form larger molecules. Motion is defined in terms of the movement of the physical atoms and it appears that it is taken to be non-instantaneous. Light rays are taken to be a stream of high velocity of tejas (fire) atoms. The particles of light can exhibit different characteristics depending on the speed and the arrangements of the tejas atoms. Around the first century BC, the Vishnu Purana correctly refers to sunlight as the "the seven rays of the sun".
Later in 499, Aryabhata, who proposed a heliocentric solar system of gravitation in his Aryabhatiya, wrote that the planets and the Moon do not have their own light but reflect the light of the Sun.
The Indian Buddhists, such as Dignāga in the 5th century and Dharmakirti in the 7th century, developed a type of atomism that is a philosophy about reality being composed of atomic entities that are momentary flashes of light or energy. They viewed light as being an atomic entity equivalent to energy, similar to the modern concept of photons, though they also viewed all matter as being composed of these light/energy particles.
Greek and Hellenistic theories
In the fifth century BC, Empedocles postulated that everything was composed of four elements; fire, air, earth and water. He believed that Aphrodite made the human eye out of the four elements and that she lit the fire in the eye which shone out from the eye making sight possible. If this were true, then one could see during the night just as well as during the day, so Empedocles postulated an interaction between rays from the eyes and rays from a source such as the sun.
In about 300 BC, Euclid wrote Optica, in which he studied the properties of light. Euclid postulated that light travelled in straight lines and he described the laws of reflection and studied them mathematically. He questioned that sight is the result of a beam from the eye, for he asks how one sees the stars immediately, if one closes one's eyes, then opens them at night. Of course if the beam from the eye travels infinitely fast this is not a problem.
In 55 BC, Lucretius, a Roman who carried on the ideas of earlier Greek atomists, wrote:
"The light and heat of the sun; these are composed of minute atoms which, when they are shoved off, lose no time in shooting right across the interspace of air in the direction imparted by the shove." - On the nature of the Universe
Despite being similar to later particle theories, Lucretius's views were not generally accepted and light was still theorized as emanating from the eye.
Ptolemy (c. 2nd century) wrote about the refraction of light, and developed a theory of vision that objects are seen by rays of light emanating from the eyes.
Optical theory
The Muslim scientist Ibn al-Haytham (c. 965- 1040), known as Alhacen in the West, in his Book of Optics, developed a broad theory that explained vision, using geometry and anatomy, which stated that each point on an illuminated area or object radiates light rays in every direction, but that only one ray from each point, which strikes the eye perpendicularly, can be seen. The other rays strike at different angles and are not seen. He described the pinhole camera and invented the camera obscura, which produces an inverted image, and used it as an example to support his argument. This contradicted Ptolemy's theory of vision that objects are seen by rays of light emanating from the eyes. Alhacen held light rays to be streams of minute particles that travelled at a finite speed. He improved Ptolemy's theory of the refraction of light, and went on to discover the laws of refraction.
He also carried out the first experiments on the dispersion of light into its constituent colors. His major work Kitab al-Manazir was translated into Latin in the Middle Ages, as well his book dealing with the colors of sunset. He dealt at length with the theory of various physical phenomena like shadows, eclipses, the rainbow. He also attempted to explain binocular vision, and gave a correct explanation of the apparent increase in size of the sun and the moon when near the horizon. Because of his extensive research on optics, Al-Haytham is considered the father of modern optics.
Al-Haytham also correctly argued that we see objects because the sun's rays of light, which he believed to be streams of tiny particles travelling in straight lines, are reflected from objects into our eyes. He understood that light must travel at a large but finite velocity, and that refraction is caused by the velocity being different in different substances. He also studied spherical and parabolic mirrors, and understood how refraction by a lens will allow images to be focused and magnification to take place. He understood mathematically why a spherical mirror produces aberration.
The 'plenum'
René Descartes (1596-1650) held that light was a disturbance of the plenum, the continuous substance of which the universe was composed. In 1637 he published a theory of the refraction of light that assumed, incorrectly, that light travelled faster in a denser medium than in a less dense medium. Descartes arrived at this conclusion by analogy with the behaviour of sound waves. Although Descartes was incorrect about the relative speeds, he was correct in assuming that light behaved like a wave and in concluding that refraction could be explained by the speed of light in different media. As a result, Descartes' theory is often regarded as the forerunner of the wave theory of light.
Particle theory
Pierre Gassendi (1592-1655), an atomist, proposed a particle theory of light which was published posthumously in the 1660s. Isaac Newton studied Gassendi's work at an early age, and preferred his view to Descartes' theory of the plenum. He stated in his Hypothesis of Light of 1675 that light was composed of corpuscles (particles of matter) which were emitted in all directions from a source. One of Newton's arguments against the wave nature of light was that waves were known to bend around obstacles, while light travelled only in straight lines. He did, however, explain the phenomenon of the diffraction of light (which had been observed by Francesco Grimaldi) by allowing that a light particle could create a localised wave in the aether.
Newton's theory could be used to predict the reflection of light, but could only explain refraction by incorrectly assuming that light accelerated upon entering a denser medium because the gravitational pull was greater. Newton published the final version of his theory in his Opticks of 1704. His reputation helped the particle theory of light to hold sway during the 18th century. The particle theory of light led Laplace to argue that a body could be so massive that light could not escape from it. In other words it would become what is now called a black hole. Laplace withdrew his suggestion when the wave theory of light was firmly established. A translation of his essay appears in The large scale structure of space-time, by Stephen Hawking and George F. R. Ellis.
Wave theory
In the 1660s, Robert Hooke published a wave theory of light. Christiaan Huygens worked out his own wave theory of light in 1678, and published it in his Treatise on light in 1690. He proposed that light was emitted in all directions as a series of waves in a medium called the Luminiferous ether. As waves are not affected by gravity, it was assumed that they slowed down upon entering a denser medium.
The wave theory predicted that light waves could interfere with each other like sound waves (as noted around 1800 by Thomas Young), and that light could be polarized. Young showed by means of a diffraction experiment that light behaved as waves. He also proposed that different colors were caused by different wavelengths of light, and explained colour vision in terms of three-colored receptors in the eye.
Another supporter of the wave theory was Leonhard Euler. He argued in Nova theoria lucis et colorum ( 1746) that diffraction could more easily be explained by a wave theory.
Later, Augustin-Jean Fresnel independently worked out his own wave theory of light, and presented it to the Académie des Sciences in 1817. Simeon Denis Poisson added to Fresnel's mathematical work to produce a convincing argument in favour of the wave theory, helping to overturn Newton's corpuscular theory.
The weakness of the wave theory was that light waves, like sound waves, would need a medium for transmission. A hypothetical substance called the luminiferous aether was proposed, but its existence was cast into strong doubt in the late nineteenth century by the Michelson-Morley experiment.
Newton's corpuscular theory implied that light would travel faster in a denser medium, while the wave theory of Huygens and others implied the opposite. At that time, the speed of light could not be measured accurately enough to decide which theory was correct. The first to make a sufficiently accurate measurement was Léon Foucault, in 1850. His result supported the wave theory, and the classical particle theory was finally abandoned.
Electromagnetic theory

In 1845, Michael Faraday discovered that the angle of polarization of a beam of light as it passed through a polarizing material could be altered by a magnetic field, an effect now known as Faraday rotation. This was the first evidence that light was related to electromagnetism. Faraday proposed in 1847 that light was a high-frequency electromagnetic vibration, which could propagate even in the absence of a medium such as the ether.
Faraday's work inspired James Clerk Maxwell to study electromagnetic radiation and light. Maxwell discovered that self-propagating electromagnetic waves would travel through space at a constant speed, which happened to be equal to the previously measured speed of light. From this, Maxwell concluded that light was a form of electromagnetic radiation: he first stated this result in 1862 in On Physical Lines of Force. In 1873, he published A Treatise on Electricity and Magnetism, which contained a full mathematical description of the behaviour of electric and magnetic fields, still known as Maxwell's equations. Soon after, Heinrich Hertz confirmed Maxwell's theory experimentally by generating and detecting radio waves in the laboratory, and demonstrating that these waves behaved exactly like visible light, exhibiting properties such as reflection, refraction, diffraction, and interference. Maxwell's theory and Hertz's experiments led directly to the development of modern radio, radar, television, electromagnetic imaging, and wireless communications.
The special theory of relativity
The wave theory was wildly successful in explaining nearly all optical and electromagnetic phenomena, and was a great triumph of nineteenth century physics. By the late nineteenth century, however, a handful of experimental anomalies remained that could not be explained by or were in direct conflict with the wave theory. One of these anomalies involved a controversy over the speed of light. The constant speed of light predicted by Maxwell's equations and confirmed by the Michelson-Morley experiment contradicted the mechanical laws of motion that had been unchallenged since the time of Galileo, which stated that all speeds were relative to the speed of the observer. In 1905, Albert Einstein resolved this paradox by revising the Galilean model of space and time to account for the constancy of the speed of light. Einstein formulated his ideas in his special theory of relativity, which radically altered humankind's understanding of space and time. Einstein also demonstrated a previously unknown fundamental equivalence between energy and mass with his famous equation
where E is energy, m is rest mass, and c is the speed of light.
Particle theory revisited
Another experimental anomaly was the photoelectric effect, by which light striking a metal surface ejected electrons from the surface, causing an electric current to flow across an applied voltage. Experimental measurements demonstrated that the energy of individual ejected electrons was proportional to the frequency, rather than the intensity, of the light. Furthermore, below a certain minimum frequency, which depended on the particular metal, no current would flow regardless of the intensity. These observations clearly contradicted the wave theory, and for years physicists tried in vain to find an explanation. In 1905, Einstein solved this puzzle as well, this time by resurrecting the particle theory of light to explain the observed effect. Because of the preponderance of evidence in favour of the wave theory, however, Einstein's ideas were met initially by great skepticism among established physicists. But eventually Einstein's explanation of the photoelectric effect would triumph, and it ultimately formed the basis for wave–particle duality and much of quantum mechanics.
Quantum theory
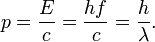
A third anomaly that arose in the late 19th century involved a contradiction between the wave theory of light and measurements of the electromagnetic spectrum emitted by thermal radiators, or so-called black bodies. Physicists struggled with this problem, which later became known as the ultraviolet catastrophe, unsuccessfully for many years. In 1900, Max Planck developed a new theory of black-body radiation that explained the observed spectrum correctly. Planck's theory was based on the idea that black bodies emit light (and other electromagnetic radiation) only as discrete bundles or packets of energy. These packets were called quanta, and the particle of light was given the name photon, to correspond with other particles being described around this time, such as the electron and proton. A photon has an energy, E, proportional to its frequency, f, by
where h is Planck's constant, λ is the wavelength and c is the speed of light. Likewise, the momentum p of a photon is also proportional to its frequency and inversely proportional to its wavelength:
As it originally stood, this theory did not explain the simultaneous wave- and particle-like natures of light, though Planck would later work on theories that did. In 1918, Planck received the Nobel Prize in Physics for his part in the founding of quantum theory.
Wave–particle duality
The modern theory that explains the nature of light includes the notion of wave–particle duality, described by Albert Einstein in the early 1900s, based on his study of the photoelectric effect and Planck's results. Einstein asserted that the energy of a photon is proportional to its frequency. More generally, the theory states that everything has both a particle nature and a wave nature, and various experiments can be done to bring out one or the other. The particle nature is more easily discerned if an object has a large mass, so it took until a bold proposition by Louis de Broglie in 1924 to realise that electrons also exhibited wave–particle duality. The wave nature of electrons was experimentally demonstrated by Davission and Germer in 1927. Einstein received the Nobel Prize in 1921 for his work with the wave–particle duality on photons (especially explaining the photoelectric effect thereby), and de Broglie followed in 1929 for his extension to other particles.
Quantum electrodynamics
The quantum mechanical theory of light and electromagnetic radiation continued to evolve through the 1920's and 1930's, and culminated with the development during the 1940's of the theory of quantum electrodynamics, or QED. This so-called quantum field theory is among the most comprehensive and experimentally successful theories ever formulated to explain a set of natural phenomena. QED was developed primarily by physicists Richard Feynman, Freeman Dyson, Julian Schwinger, and Shin-Ichiro Tomonaga. Feynman, Schwinger, and Tomonaga shared the 1965 Nobel Prize in Physics for their contributions.
Light pressure
Light pushes on objects in its way, just as the wind would do. This pressure is most easily explainable in particle theory: photons hit and transfer their momentum. Light pressure can cause asteroids to spin faster, acting on their irregular shapes as on the vanes of a windmill. The possibility to make solar sails that would accelerate spaceships in space is also under investigation.
Although the motion of the Crookes radiometer was originally attributed to light pressure, this interpretation is incorrect; the characteristic Crookes rotation is the result of a partial vacuum. This should not be confused with the Nichols radiometer, in which the motion is directly caused by light pressure.
Spirituality
The sensory perception of light plays a central role in spirituality ( vision, enlightenment, darshan, Tabor Light), and the presence of light as opposed to its absence ( darkness) is a common Western metaphor of good and evil, knowledge and ignorance, and similar concepts.





