Quantum field theory
2008/9 Schools Wikipedia Selection. Related subjects: Physics
| Quantum field theory | ||||||||||||||
![]() |
||||||||||||||
| Feynman diagram | ||||||||||||||
History of...
|
||||||||||||||
Quantum field theory (QFT) is a theoretical framework for constructing quantum mechanical models of field-like systems or, equivalently, of many-body systems. It is widely used in particle physics and condensed matter physics. Most theories in modern particle physics, including the Standard Model of elementary particles and their interactions, are formulated as relativistic quantum field theories. In condensed matter physics, quantum field theories are used in many circumstances, especially those where the number of particles is allowed to fluctuate—for example, in the BCS theory of superconductivity.
History
Quantum field theory originated in the 1920s from the problem of creating a quantum mechanical theory of the electromagnetic field. In 1926, Max Born, Pascual Jordan, and Werner Heisenberg constructed such a theory by expressing the field's internal degrees of freedom as an infinite set of harmonic oscillators and by employing the usual procedure for quantizing those oscillators ( canonical quantization). This theory assumed that no electric charges or currents were present and today would be called a free field theory. The first reasonably complete theory of quantum electrodynamics, which included both the electromagnetic field and electrically charged matter (specifically, electrons) as quantum mechanical objects, was created by Paul Dirac in 1927. This quantum field theory could be used to model important processes such as the emission of a photon by an electron dropping into a quantum state of lower energy, a process in which the number of particles changes — one atom in the initial state becomes an atom plus a photon in the final state. It is now understood that the ability to describe such processes is one of the most important features of quantum field theory.
It was evident from the beginning that a proper quantum treatment of the electromagnetic field had to somehow incorporate Einstein's relativity theory, which had after all grown out of the study of classical electromagnetism. This need to put together relativity and quantum mechanics was the second major motivation in the development of quantum field theory. Pascual Jordan and Wolfgang Pauli showed in 1928 that quantum fields could be made to behave in the way predicted by special relativity during coordinate transformations (specifically, they showed that the field commutators were Lorentz invariant), and in 1933 Niels Bohr and Leon Rosenfeld showed that this result could be interpreted as a limitation on the ability to measure fields at space-like separations, exactly as required by relativity. A further boost for quantum field theory came with the discovery of the Dirac equation, a single-particle equation obeying both relativity and quantum mechanics, when it was shown that several of its undesirable properties (such as negative-energy states) could be eliminated by reformulating the Dirac equation as a quantum field theory. This work was performed by Wendell Furry, Robert Oppenheimer, Vladimir Fock, and others.
The third thread in the development of quantum field theory was the need to handle the statistics of many-particle systems consistently and with ease. In 1927, Jordan tried to extend the canonical quantization of fields to the many-body wavefunctions of identical particles, a procedure that is sometimes called second quantization. In 1928, Jordan and Eugene Wigner found that the quantum field describing electrons, or other fermions, had to be expanded using anti-commuting creation and annihilation operators due to the Pauli exclusion principle. This thread of development was incorporated into many-body theory, and strongly influenced condensed matter physics and nuclear physics.
Despite its early successes, quantum field theory was plagued by several serious theoretical difficulties. Many seemingly-innocuous physical quantities, such as the energy shift of electron states due to the presence of the electromagnetic field, gave infinity — a nonsensical result — when computed using quantum field theory. This "divergence problem" was solved during the 1940s by Bethe, Tomonaga, Schwinger, Feynman, and Dyson, through the procedure known as renormalization. This phase of development culminated with the construction of the modern theory of quantum electrodynamics (QED). Beginning in the 1950s with the work of Yang and Mills, QED was generalized to a class of quantum field theories known as gauge theories. The 1960s and 1970s saw the formulation of a gauge theory now known as the Standard Model of particle physics, which describes all known elementary particles and the interactions between them. The weak interaction part of the standard model was formulated by Sheldon Glashow, with the Higgs mechanism added by Steven Weinberg and Abdus Salam. The theory was shown to be consistent by Gerardus 't Hooft and Martinus Veltman.
Also during the 1970s, parallel developments in the study of phase transitions in condensed matter physics led Leo Kadanoff, Michael Fisher and Kenneth Wilson (extending work of Ernst Stueckelberg, Andre Peterman, Murray Gell-Mann and Francis Low) to a set of ideas and methods known as the renormalization group. By providing a better physical understanding of the renormalization procedure invented in the 1940s, the renormalization group sparked what has been called the "grand synthesis" of theoretical physics, uniting the quantum field theoretical techniques used in particle physics and condensed matter physics into a single theoretical framework.
The study of quantum field theory is alive and flourishing, as are applications of this method to many physical problems. It remains one of the most vital areas of theoretical physics today, providing a common language to many branches of physics.
Principles of quantum field theory
Classical fields and quantum fields
Quantum mechanics, in its most general formulation, is a theory of abstract operators (observables) acting on an abstract state space ( Hilbert space), where the observables represent physically-observable quantities and the state space represents the possible states of the system under study. Furthermore, each observable corresponds, in a technical sense, to the classical idea of a degree of freedom. For instance, the fundamental observables associated with the motion of a single quantum mechanical particle are the position and momentum operators
and
. Ordinary quantum mechanics deals with systems such as this, which possess a small set of degrees of freedom.
(It is important to note, at this point, that this article does not use the word " particle" in the context of wave–particle duality. In quantum field theory, "particle" is a generic term for any discrete quantum mechanical entity, such as an electron, which can behave like classical particles or classical waves under different experimental conditions.)
A quantum field is a quantum mechanical system containing a large, and possibly infinite, number of degrees of freedom. This is not as exotic a situation as one might think. A classical field contains a set of degrees of freedom at each point of space; for instance, the classical electromagnetic field defines two vectors — the electric field and the magnetic field — that can in principle take on distinct values for each position r. When the field as a whole is considered as a quantum mechanical system, its observables form an infinite (in fact uncountable) set, because r is continuous.
Furthermore, the degrees of freedom in a quantum field are arranged in "repeated" sets. For example, the degrees of freedom in an electromagnetic field can be grouped according to the position r, with exactly two vectors for each r. Note that r is an ordinary number that "indexes" the observables; it is not to be confused with the position operator
encountered in ordinary quantum mechanics, which is an observable. (Thus, ordinary quantum mechanics is sometimes referred to as "zero-dimensional quantum field theory", because it contains only a single set of observables.) It is also important to note that there is nothing special about r because, as it turns out, there is generally more than one way of indexing the degrees of freedom in the field.
In the following sections, we will show how these ideas can be used to construct a quantum mechanical theory with the desired properties. We will begin by discussing single-particle quantum mechanics and the associated theory of many-particle quantum mechanics. Then, by finding a way to index the degrees of freedom in the many-particle problem, we will construct a quantum field and study its implications.
Single-particle and many-particle quantum mechanics
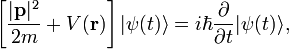
In ordinary quantum mechanics, the time-dependent Schrödinger equation describing the motion of a single non-relativistic particle is
where m is the particle's mass, V is the applied potential, and
denotes the quantum state (we are using bra-ket notation).
We wish to consider how this problem generalizes to N particles. There are two motivations for studying the many-particle problem. The first is a straightforward need in condensed matter physics, where typically the number of particles is on the order of Avogadro's number (6.0221415 x 1023). The second motivation for the many-particle problem arises from particle physics and the desire to incorporate the effects of special relativity. If one attempts to include the relativistic rest energy into the above equation, the result is either the Klein-Gordon equation or the Dirac equation. However, these equations have many unsatisfactory qualities; for instance, they possess energy eigenvalues which extend to –∞, so that there seems to be no easy definition of a ground state. It turns out that such inconsistencies arise from neglecting the possibility of dynamically creating or destroying particles, which is a crucial aspect of relativity. Einstein's famous mass-energy relation predicts that sufficiently massive particles can decay into several lighter particles, and sufficiently energetic particles can combine to form massive particles. For example, an electron and a positron can annihilate each other to create photons. Thus, a consistent relativistic quantum theory must be formulated as a many-particle theory.
Furthermore, we will assume that the N particles are indistinguishable. As described in the article on identical particles, this implies that the state of the entire system must be either symmetric ( bosons) or antisymmetric ( fermions) when the coordinates of its constituent particles are exchanged. These multi-particle states are rather complicated to write. For example, the general quantum state of a system of N bosons is written as
where
are the single-particle states, Nj is the number of particles occupying state j, and the sum is taken over all possible permutations p acting on N elements. In general, this is a sum of N! (N factorial) distinct terms, which quickly becomes unmanageable as N increases. The way to simplify this problem is to turn it into a quantum field theory.
Second quantization
In this section, we will describe a method for constructing a quantum field theory called second quantization. This basically involves choosing a way to index the quantum mechanical degrees of freedom in the space of multiple identical-particle states. It is based on the Hamiltonian formulation of quantum mechanics; several other approaches exist, such as the Feynman path integral, which uses a Lagrangian formulation. For an overview, see the article on quantization.
Second quantization of bosons
For simplicity, we will first discuss second quantization for bosons, which form perfectly symmetric quantum states. Let us denote the mutually orthogonal single-particle states by
and so on. For example, the 3-particle state with one particle in state
and two in state
is
The first step in second quantization is to express such quantum states in terms of occupation numbers, by listing the number of particles occupying each of the single-particle states
etc. This is simply another way of labelling the states. For instance, the above 3-particle state is denoted as
The next step is to expand the N-particle state space to include the state spaces for all possible values of N. This extended state space, known as a Fock space, is composed of the state space of a system with no particles (the so-called vacuum state), plus the state space of a 1-particle system, plus the state space of a 2-particle system, and so forth. It is easy to see that there is a one-to-one correspondence between the occupation number representation and valid boson states in the Fock space.
At this point, the quantum mechanical system has become a quantum field in the sense we described above. The field's elementary degrees of freedom are the occupation numbers, and each occupation number is indexed by a number
, indicating which of the single-particle states
it refers to.
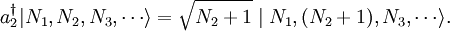
The properties of this quantum field can be explored by defining creation and annihilation operators, which add and subtract particles. They are analogous to "ladder operators" in the quantum harmonic oscillator problem, which added and subtracted energy quanta. However, these operators literally create and annihilate particles of a given quantum state. The bosonic annihilation operator a2 and creation operator
have the following effects:
It can be shown that these are operators in the usual quantum mechanical sense, i.e. linear operators acting on the Fock space. Furthermore, they are indeed Hermitian conjugates, which justifies the way we have written them. They can be shown to obey the commutation relation
where δ stands for the Kronecker delta. These are precisely the relations obeyed by the ladder operators for an infinite set of independent quantum harmonic oscillators, one for each single-particle state. Adding or removing bosons from each state is therefore analogous to exciting or de-exciting a quantum of energy in a harmonic oscillator.
The Hamiltonian of the quantum field (which, through the Schrödinger equation, determines its dynamics) can be written in terms of creation and annihilation operators. For instance, the Hamiltonian of a field of free (non-interacting) bosons is
where Ek is the energy of the k-th single-particle energy eigenstate. Note that
.
Second quantization of fermions
It turns out that a different definition of creation and annihilation must be used for describing fermions. According to the Pauli exclusion principle, fermions cannot share quantum states, so their occupation numbers Ni can only take on the value 0 or 1. The fermionic annihilation operators c and creation operators
are defined by
These obey an anticommutation relation:
One may notice from this that applying a fermionic creation operator twice gives zero, so it is impossible for the particles to share single-particle states, in accordance with the exclusion principle.
Field operators
We have previously mentioned that there can be more than one way of indexing the degrees of freedom in a quantum field. Second quantization indexes the field by enumerating the single-particle quantum states. However, as we have discussed, it is more natural to think about a "field", such as the electromagnetic field, as a set of degrees of freedom indexed by position.
To this end, we can define field operators that create or destroy a particle at a particular point in space. In particle physics, these operators turn out to be more convenient to work with, because they make it easier to formulate theories that satisfy the demands of relativity.
Single-particle states are usually enumerated in terms of their momenta (as in the particle in a box problem.) We can construct field operators by applying the Fourier transform to the creation and annihilation operators for these states. For example, the bosonic field annihilation operator
is
The bosonic field operators obey the commutation relation
where δ(x) stands for the Dirac delta function. As before, the fermionic relations are the same, with the commutators replaced by anticommutators.
It should be emphasized that the field operator is not the same thing as a single-particle wavefunction. The former is an operator acting on the Fock space, and the latter is just a scalar field. However, they are closely related, and are indeed commonly denoted with the same symbol. If we have a Hamiltonian with a space representation, say
where the indices i and j run over all particles, then the field theory Hamiltonian is
This looks remarkably like an expression for the expectation value of the energy, with φ playing the role of the wavefunction. This relationship between the field operators and wavefunctions makes it very easy to formulate field theories starting from space-projected Hamiltonians.
Implications of quantum field theory
Unification of fields and particles
The "second quantization" procedure that we have outlined in the previous section takes a set of single-particle quantum states as a starting point. Sometimes, it is impossible to define such single-particle states, and one must proceed directly to quantum field theory. For example, a quantum theory of the electromagnetic field must be a quantum field theory, because it is impossible (for various reasons) to define a wavefunction for a single photon. In such situations, the quantum field theory can be constructed by examining the mechanical properties of the classical field and guessing the corresponding quantum theory. The quantum field theories obtained in this way have the same properties as those obtained using second quantization, such as well-defined creation and annihilation operators obeying commutation or anticommutation relations.
Quantum field theory thus provides a unified framework for describing "field-like" objects (such as the electromagnetic field, whose excitations are photons) and "particle-like" objects (such as electrons, which are treated as excitations of an underlying electron field).
Physical meaning of particle indistinguishability
The second quantization procedure relies crucially on the particles being identical. We would not have been able to construct a quantum field theory from a distinguishable many-particle system, because there would have been no way of separating and indexing the degrees of freedom.
Many physicists prefer to take the converse interpretation, which is that quantum field theory explains what identical particles are. In ordinary quantum mechanics, there is not much theoretical motivation for using symmetric (bosonic) or antisymmetric (fermionic) states, and the need for such states is simply regarded as an empirical fact. From the point of view of quantum field theory, particles are identical if and only if they are excitations of the same underlying quantum field. Thus, the question "why are all electrons identical?" arises from mistakenly regarding individual electrons as fundamental objects, when in fact it is only the electron field that is fundamental.
Particle conservation and non-conservation
During second quantization, we started with a Hamiltonian and state space describing a fixed number of particles (N), and ended with a Hamiltonian and state space for an arbitrary number of particles. Of course, in many common situations N is an important and perfectly well-defined quantity, e.g. if we are describing a gas of atoms sealed in a box. From the point of view of quantum field theory, such situations are described by quantum states that are eigenstates of the number operator
, which measures the total number of particles present. As with any quantum mechanical observable,
is conserved if it commutes with the Hamiltonian. In that case, the quantum state is trapped in the N-particle subspace of the total Fock space, and the situation could equally well be described by ordinary N-particle quantum mechanics.
For example, we can see that the free-boson Hamiltonian described above conserves particle number. Whenever the Hamiltonian operates on a state, each particle destroyed by an annihilation operator ak is immediately put back by the creation operator
.
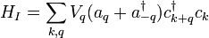
On the other hand, it is possible, and indeed common, to encounter quantum states that are not eigenstates of
, which do not have well-defined particle numbers. Such states are difficult or impossible to handle using ordinary quantum mechanics, but they can be easily described in quantum field theory as quantum superpositions of states having different values of N. For example, suppose we have a bosonic field whose particles can be created or destroyed by interactions with a fermionic field. The Hamiltonian of the combined system would be given by the Hamiltonians of the free boson and free fermion fields, plus a "potential energy" term such as
,
where
and ak denotes the bosonic creation and annihilation operators,
and ck denotes the fermionic creation and annihilation operators, and Vq is a parameter that describes the strength of the interaction. This "interaction term" describes processes in which a fermion in state k either absorbs or emits a boson, thereby being kicked into a different eigenstate k + q. (In fact, this type of Hamiltonian is used to describe interaction between conduction electrons and phonons in metals. The interaction between electrons and photons is treated in a similar way, but is a little more complicated because the role of spin must be taken into account.) One thing to notice here is that even if we start out with a fixed number of bosons, we will typically end up with a superposition of states with different numbers of bosons at later times. The number of fermions, however, is conserved in this case.
In condensed matter physics, states with ill-defined particle numbers are particularly important for describing the various superfluids. Many of the defining characteristics of a superfluid arise from the notion that its quantum state is a superposition of states with different particle numbers.
Axiomatic approaches
The preceding description of quantum field theory follows the spirit in which most physicists approach the subject. However, it is not mathematically rigorous. Over the past several decades, there have been many attempts to put quantum field theory on a firm mathematical footing by formulating a set of axioms for it. These attempts fall into two broad classes.
The first class of axioms, first proposed during the 1950s, include the Wightman, Osterwalder-Schrader, and Haag-Kastler systems. They attempted to formalize the physicists' notion of an "operator-valued field" within the context of functional analysis, and enjoyed limited success. It was possible to prove that any quantum field theory satisfying these axioms satisfied certain general theorems, such as the spin-statistics theorem and the CPT theorem. Unfortunately, it proved extraordinarily difficult to show that any realistic field theory, including the Standard Model, satisfied these axioms. Most of the theories that could be treated with these analytic axioms were physically trivial, being restricted to low-dimensions and lacking interesting dynamics. The construction of theories satisfying one of these sets of axioms falls in the field of constructive quantum field theory. Important work was done in this area in the 1970s by Segal, Glimm, Jaffe and others.
During the 1980s, a second set of axioms based on geometric ideas was proposed. This line of investigation, which restricts its attention to a particular class of quantum field theories known as topological quantum field theories, is associated most closely with Michael Atiyah and Graeme Segal, and was notably expanded upon by Edward Witten, Richard Borcherds, and Maxim Kontsevich. However, most physically-relevant quantum field theories, such as the Standard Model, are not topological quantum field theories; the quantum field theory of the fractional quantum Hall effect is a notable exception. The main impact of axiomatic topological quantum field theory has been on mathematics, with important applications in representation theory, algebraic topology, and differential geometry.
Finding the proper axioms for quantum field theory is still an open and difficult problem in mathematics. One of the Millennium Prize Problems—proving the existence of a mass gap in Yang-Mills theory—is linked to this issue.
Phenomena associated with quantum field theory
In the previous part of the article, we described the most general properties of quantum field theories. Some of the quantum field theories studied in various fields of theoretical physics possess additional special properties, such as renormalizability, gauge symmetry, and supersymmetry. These are described in the following sections.
Renormalization
Early in the history of quantum field theory, it was found that many seemingly innocuous calculations, such as the perturbative shift in the energy of an electron due to the presence of the electromagnetic field, give infinite results. Many of these problems are related to failures in classical electrodynamics that were identified (but unsolved) as far back as the 19th century, and they basically stem from the fact that many of the supposedly "intrinsic" properties of an electron are tied to the electromagnetic field with which it interacts. To illustrate this, recall from the preceding discussion that the interaction Hamiltonian between two quantum fields, such as the electron field and the electromagnetic field, need not conserve particle number. Thus, even if we start out with a single electron and no photons, the quantum state will rapidly evolve into a superposition of states that can include one or more photons. Therefore, the energy carried by that "single" electron—its self energy—is not simply the "bare" value, but also includes the energy contained in an attendant cloud of photons. When this self energy is computed, one finds that the contribution of photons possessing arbitrarily high energies (or, equivalently, arbitrarily short wavelengths) leads to a formally infinite value.
The solution to this problem, first given by Julian Schwinger, is called renormalization. The idea is to impose a " cutoff" for the photonic contribution, e.g. by postulating that photons cannot possess energies above some extremely high value. Any quantity we wish to compute, such as the rest energy, is now finite but dependent on the cutoff. We then recast the result in terms of physically-observable quantities such as the observed electron mass, instead of unobservable quantities such as the cutoff energy and the bare electron mass. The final result is independent of all details of the cutoff procedure, including the value of the cutoff energy, provided the relevant processes occur at energies far below the cutoff.
The renormalization procedure only works for a certain class of quantum field theories, called renormalizable quantum field theories. The Standard Model of particle physics is renormalizable, and so are its component theories ( quantum electrodynamics/ electroweak theory and quantum chromodynamics). According to the theory of the renormalization group, each renormalizable theory is a unique low-energy limit (i.e. a so-called " effective field theory") for a broad range of high-energy theories. Renormalizable theories are therefore independent of the precise nature of the underlying high-energy phenomena.
Gauge freedom
A gauge theory is a theory that admits a symmetry with a local parameter. For example, in every quantum theory the global phase of the wave function is arbitrary and does not represent something physical. Consequently, the theory is invariant under a global change of phases (adding a constant to the phase of all wave functions, everywhere); this is a global symmetry. In quantum electrodynamics, the theory is also invariant under a local change of phase, that is - one may shift the phase of all wave functions so that the shift may be different at every point in space-time. This is a local symmetry. However, in order for a well-defined derivative operator to exist, one must introduce a new field, the gauge field, which also transforms in order for the local change of variables (the phase in our example) not to affect the derivative. In quantum electrodynamics this gauge field is the electromagnetic field. The change of local gauge of variables is termed gauge transformation.
In quantum field theory the excitations of fields represent particles. The particle associated with excitations of the gauge field is the gauge boson, which is the photon in the case of quantum electrodynamics.
The degrees of freedom in quantum field theory are local fluctuations of the fields. The existence of a gauge symmetry reduces the number of degrees of freedom, simply because some fluctuations of the fields can be transformed to zero by gauge transformations, so they are equivalent to having no fluctuations at all, and they therefore have no physical meaning. Such fluctuations are usually called "non-physical degrees of freedom" or gauge artifacts; usually some of them have a negative norm, making them inadequate for a consistent theory. Therefore, if a classical field theory has a gauge symmetry, then its quantized version (i.e. the corresponding quantum field theory) will have this symmetry as well. In other words, a gauge symmetry cannot have a quantum anomaly. If a gauge symmetry is anomalous (i.e. not kept in the quantum theory) then the theory is non-consistent: for example, in quantum electrodynamics, had there been a gauge anomaly, this would require the appearance of photons with longitudinal polarization and polarization in the time direction, the latter having a negative norm, rendering the theory inconsistent; another possibility would be for these photons to appear only in intermediate processes but not in the final products of any interaction, making the theory non unitary and again inconsistent (see optical theorem).
In general, the gauge transformations of a theory consist several different transformations, which may not be commutative. These transformations are together described by a mathematical object known as a gauge group. Infinitesimal gauge transformations are the gauge group generators. Therefore the number of gauge bosons is the group dimension (i.e. number of generators forming a basis).
All the fundamental interactions in nature are described by gauge theories. These are:
- Quantum electrodynamics, whose gauge transformation is a local change of phase, so that the gauge group is U(1). The gauge boson is the photon.
- Quantum chromodynamics, whose gauge group is SU(3). The gauge bosons are eight gluons.
- The electroweak Theory, whose gauge group is
(a direct product of U(1) and SU(2)). - Gravity, whose classical theory is general relativity, admits the equivalence principle which is a form of gauge symmetry.
Supersymmetry
Supersymmetry assumes that every fundamental fermion has a superpartner that is a boson and vice versa. It was introduced in order to solve the so-called Hierarchy Problem, that is, to explain why particles not protected by any symmetry (like the Higgs boson) do not receive radiative corrections to its mass driving it to the larger scales (GUT, Planck...). It was soon realized that supersymmetry has other interesting properties: its gauged version is an extension of general relativity ( Supergravity), and it is a key ingredient for the consistency of string theory.
The way supersymmetry protects the hierarchies is the following: since for every particle there is a superpartner with the same mass, any loop in a radiative correction is cancelled by the loop corresponding to its superpartner, rendering the theory UV finite.
Since no superpartners have yet been observed, if supersymmetry exists it must be broken (through a so-called soft term, which breaks supersymmetry without ruining its helpful features). The simplest models of this breaking require that the energy of the superpartners not be too high; in these cases, supersymmetry is expected to be observed by experiments at the Large Hadron Collider.

![\left[ \frac{|\mathbf{p}|^2}{2m} + V(\mathbf{r}) \right]
|\psi(t)\rang = i \hbar \frac{\partial}{\partial t} |\psi(t)\rang,](../../images/0/33.png)

![\frac{1}{\sqrt{3}} \left[ |\phi_1\rang |\phi_2\rang
|\phi_2\rang + |\phi_2\rang |\phi_1\rang |\phi_2\rang + |\phi_2\rang
|\phi_2\rang |\phi_1\rang \right].](../../images/0/75.png)



![\left[a_i , a_j \right] = 0 \quad,\quad
\left[a_i^\dagger , a_j^\dagger \right] = 0 \quad,\quad
\left[a_i , a_j^\dagger \right] = \delta_{ij},](../../images/0/93.png)







![\left[\phi(\mathbf{r}) , \phi(\mathbf{r'}) \right] = 0 \quad,\quad
\left[\phi^\dagger(\mathbf{r}) , \phi^\dagger(\mathbf{r'}) \right] = 0 \quad,\quad
\left[\phi(\mathbf{r}) , \phi^\dagger(\mathbf{r'}) \right] = \delta^3(\mathbf{r} - \mathbf{r'})](../../images/1/170.png)

