Portal:Mathematics
2008/9 Schools Wikipedia Selection. Related subjects: Mathematics; Portals
There are approximately 20205 mathematical articles in Wikipedia.
| e is the unique number such that the slope of y=ex (blue curve) is exactly 1 when x=0 (illustrated by the red tangent line). For comparison, the curves y=2x (dotted curve) and y=4x (dashed curve) are shown. |
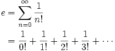
- The sum of the infinite series

- where n! is the factorial of n.
- The global maximum of the function
- The limit:
The number e is also the base of the natural logarithm. Since e is transcendental, and therefore irrational, its value can not be given exactly. The numerical value of e truncated to 20 decimal places is 2.71828 18284 59045 23536.
| Image credit: Dick Lyon |
The Banach–Tarski paradox is a theorem in set theoretic geometry which states that a solid ball in 3-dimensional space can be split into several non-overlapping pieces, which can then be put back together in a different way to yield two identical copies of the original ball. The reassembly process involves only moving the pieces around and rotating them, without or possibly with changing their shape. However, the pieces themselves are extremely complicated: they are usually not solids but infinite scatterings of points.
- ...that it is unknown whether π and e are algebraically independent?
- ...that a nonconvex polygon with three convex vertices is called a pseudotriangle?
- ...that it is possible for a three dimensional figure to have a finite volume but infinite surface area? An example of this is Gabriel's Horn.
- ... that as the dimension of a hypersphere tends to infinity, its "volume" (content) tends to 0?
- ...that the primality of a number can be determined using only a single division using Wilson's Theorem?
- ...that the line separating the numerator and denominator of a fraction is called a solidus if written as a diagonal line or a vinculum if written as a horizontal line.
- ...that a monkey hitting keys at random on a typewriter keyboard for an infinite amount of time will almost surely type the complete works of William Shakespeare.
- ...that outstanding mathematician Grigori Perelman was offered a Fields Medal in 2006, in part for his proof of the Poincaré conjecture, which he declined?
- ...that a regular heptagon is the regular polygon with the fewest number of sides which is not constructible with a compass and straightedge?
- ...that the Gudermannian function relates the regular trigonometric functions and the hyperbolic trigonometric functions without the use of complex numbers?
- ...that the Catalan numbers solve a number of problems in combinatorics such as the number of ways to completely parenthesize an algebraic expression with n+1 factors?
- ...that a sphere can be cut up and reassembled into two spheres the same size as the original ( Banach-Tarski paradox)?
- ...that it is impossible to devise a single formula involving only polynomials and radicals for solving an arbitrary quintic equation?
- ...that Euler found 59 more amicable numbers while for 2000 years, only 3 pairs had been found before him?
- ...that you cannot knot strings in 4-dimensions? You can, however, knot 2-dimensional surfaces like spheres.
- ...that there are 6 unsolved mathematics problems whose solutions will earn you one million US dollars each?
- ...that there are different sizes of infinite sets in set theory? More precisely, not all infinite cardinal numbers are equal?
- ...that every natural number can be written as the sum of four squares?
- ...that the largest known prime number is over 12 million digits long?
- ...that the set of rational numbers is equal in size to the subset of integers; that is, they can be put in one-to-one correspondence?
| Showing 21 items out of 21 | More did you know |





